应力/应变场的非局部平均和裂纹面法线的平滑以提高裂纹扩展方向的精度
上面讨论的用于评估应力和应变场的三个选项是局部计算,在这个意义上,所评估的领域是本地的裂纹尖端前的单个元素。在粗的和/或非结构化网格的情况下,提前裂纹尖端的应力和应变场的非局部平均可以导致更准确的评价这些领域,它可以提高计算的传播方向的准确性。此外,一个移动的多项式最小二乘近似默认情况下使用,以获得更准确的裂纹扩展方向。最小二乘近似进一步平滑了沿裂纹前沿单元中满足损伤起始准则的单个裂纹面的法线。
输入文件用法:
损伤开始,位置=非局部
abaqus/cae用法:abaqus/cae不支持应力/应变场的非局部平均和裂纹表面法线的平滑
指定用于非局部平均和平滑的模型区域为了控制在裂纹方向计算中用于非局部平均和平滑的元素范围,您可以指定半r,在该半径内包含裂纹尖端前面的元素 (见图10)。默认半径是富集区域中典型元素特征长度的三倍。
图10:非局部平均区域。
输入文件用法:
abaqus/cae使用方法
*损伤起始,r裂纹扩展-r
abaqus/cae中不支持指定非局部平均和平滑模型的范围
在平均之前平滑应力/应变场
为了进一步改善非局部平均,你可以要求一个初始平滑的应力/应变场前面的裂纹。在这种情况下abaqus/standard将字段值平均到元素节点,然后插值平滑字段到积分点。平滑完成后,将应用非局部平均。默认情况下不应用平滑。
输入文件用法:
使用下列选项之一
损坏开始,平滑=无(默认)*损坏开始,平滑=节点
abaqus/cae用法:在abaqus/cae中不支持在平均之前平滑应力/应变场。
非局部平均的加权方案
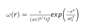
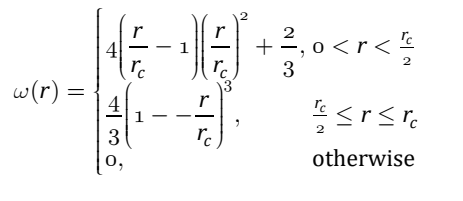
abaqus/standard为场平滑提供了许多加权方案,这些方案对非局部平均提供了额外的控制。例如,您可能希望对靠近裂纹尖端的元素给予更高的权重。可以指定一个权函数w,根据单元积分点到裂纹尖端的距离来计算平均应力/应变,r.默认情况下,将统一加权应用于用于求平均值的所有元素;或者,您可以使用高斯函数或三次样条函数。 还可以用用户子例程定义权重函数。
高斯函数表示为:
三次样条函数表示为:
输入文件用法:
使用下列选项之一:
*损伤起始,加权方法=均匀(默认值)损伤起始,加权方法=高斯*损伤起始,权重方法=三次样条曲线损伤起始,加权方法=用
abaqus/cae用法:在abaqus/cae中不支持为非局部平均指定加权方案。
温馨提示:
此文档为达索官方英文文档翻译,尽管我们已经尽力确保准确性,但在翻译过程中可能会有一些错误或细微差别。如果想要了解官方原版,可联系客服进行索取。
2025-12-05
[行业资讯] simulia简介-abaqus代理经销商思茂信息
2025-12-05
[行业资讯] 如何合理选购abaqus软件并获取报价?达索代理商思茂信息
2025-12-05
[行业资讯] 思茂信息亮相2025省博士创新站活动 共探产学研新路径
2025-12-02
[cst] cst软件探索eft虚拟测试:从iec标准到3d仿真实战
2025-12-01
[abaqus] abaqus中理想弹塑性模型和弹塑性硬化模型区别
2025-11-28
2025-11-28
2025-11-28
[abaqus] 上课啦!达索系统 simulia abaqus pcb仿真
2025-11-26
[cst] 无参优化器:利用cst和tosca进行拓扑优化之单极天线(
2025-11-26
2023-08-29
2023-08-24
[abaqus] abaqus如何建模?abaqus有限元分析教程
2023-07-07
[abaqus] 有限元分析软件abaqus单位在哪设置?【操作教程】
2023-09-05
[abaqus] abaqus软件中interaction功能模块中的绑定接
2023-07-19
[abaqus] abaqus怎么撤回上一步操作?abauqs教程
2024-05-01
[abaqus] abaqus里面s11、s12和u1、u2是什么意思?s和
2023-08-30
[abaqus] abaqus单位对应关系及参数介绍-abaqus软件
2023-11-20
[abaqus] abaqus软件教程|场变量输出历史变量输出
2023-07-18
[abaqus] abaqus中的s、u、v、e、cf分别是什么意思?
2024-05-11
[行业资讯] simulia简介-abaqus代理经销商思茂信息
2025-12-05
2025-12-05
[行业资讯] 如何合理选购abaqus软件并获取报价?达索代理商思茂信息
2025-12-05
[行业资讯] 思茂信息亮相2025省博士创新站活动 共探产学研新路径
2025-12-02
[行业资讯] 正版abaqus全国代理商:思茂信息——达索授权认证
2025-11-25
[行业资讯] 怎么联系cst studio suite代理商?达索sim
2025-11-25
2025-11-24
[行业资讯] 广东有限元分析软件abaqus采购指南-认准达索授权思茂信
2025-11-21
[行业资讯] 达索abaqus、cst代理商采购流程-指定授权代理商思茂
2025-11-21
[行业资讯] 广东2025半导体及零部件学会发展论坛落幕,广州思茂信息获
2025-11-20
地址: 广州市天河区天河北路663号广东省机械研究所8栋9层 电话:020-38921052 传真:020-38921345 邮箱:thinks@think-s.com
博天堂登陆 copyright © 2010-2023 广州思茂信息科技有限公司 all rights reserved. 粤icp备11003060号-2