循环对称结构的全部特征频率的求取循环对称结构的固有频率和相应的本征模态可以使用lanczos本征解算器的本征频率提取过程中提取(见自然频率提取)。特征频率提取过程不需要额外的信息。所有的固有频率按常规(升序)排序。对于每个固有频率的循环对称模态数的报告。
本征模按与数据的固有频率相对应的顺序写成(。数据),结果(。和输出数据库(。仅适用于用户指定的数据扇区的文件。这些模式可以扩展到整个结构取决于循环对称模式数的abaqus/cae。
有两种不同类型的本征模:单本征模和成对本征模。0重循环对称的本征模总是单一的。对于偶数n的n/2倍循环对称的本征模也是单一的。剩余n/2-1偶数)的本征模或(n-1)/2(数n) 循环对称模式配对。对应的固有频率是相等的,并且总是一起出现在数据文件的固有频率表中。具有k重循环对称性 (k
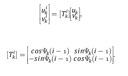
这里(u,v)和(uv)是对应于第一(基准面)截面ora和on的第一(基准面)截面上的双固有频率的配对本征模,respectively;and=2ttk/n。
从上面的表达式可以清楚地看出,具有0倍循环对称性的本征模总是对称的;即,u.=u.。同样地,对于偶数n,具有 (n/2) 倍循环对称性的本征模是单一的,因为
u/2)=(-1)(-)u(n/)。
循环对称模式的选择
通过指定要在分析中使用的最低循环对称模式nmin和要在分析中用于的最高循环对称模式nmax,您可以选择要对其执行特征频率分析的循环对称模式。默认情况下,nmin为0。默认情况下,nmax为n/2(偶数m)或(n-i)/2(数的m)nmin的值不能大于nmax的值,nmax的值不能大于默认值。若不选择循环对称模式,则分析中将考虑所有可能的循环对称模式。您可以选择只使用偶数循环对称模式。
输入文件用法:
使用以下选项指定循环对称模式
*选择循环对称模式,nmin=nmin,nmax=nmax
使用以下选项仅请求偶数循环对称模式
*选择循环对称模式,甚至
abaqus/cae用法:使用以下选项指定循环对称模式
交互模块:交互->创建:循环对称:在指定范围内切换并指定最小节点直径和最高节点直径。
在abaqus/cae中不能只要求偶循环对称模式
定态动态阶跃循环对称模式的选择
只有一个单一的循环模式可以激发在一个稳态的动态步骤。您可以在荷载定义中指定与荷载关联的循环对称模式。
输入文件用法:
使用下列选项之一:
cload,循环模式=k,实或虚
*dload,循环模式=k,实或虚
dsload,循环模式=k,实或虚
abaqus/cae用法:交互模块交互->创建:循环对称性:激发节点直径
温馨提示:
此文档为达索官方英文文档翻译,尽管我们已经尽力确保准确性,但在翻译过程中可能会有一些错误或细微差别。如果想要了解官方原版,可联系客服进行索取。
2025-12-05
[行业资讯] simulia简介-abaqus代理经销商思茂信息
2025-12-05
[行业资讯] 如何合理选购abaqus软件并获取报价?达索代理商思茂信息
2025-12-05
[行业资讯] 思茂信息亮相2025省博士创新站活动 共探产学研新路径
2025-12-02
[cst] cst软件探索eft虚拟测试:从iec标准到3d仿真实战
2025-12-01
[abaqus] abaqus中理想弹塑性模型和弹塑性硬化模型区别
2025-11-28
2025-11-28
2025-11-28
[abaqus] 上课啦!达索系统 simulia abaqus pcb仿真
2025-11-26
[cst] 无参优化器:利用cst和tosca进行拓扑优化之单极天线(
2025-11-26
2023-08-29
2023-08-24
[abaqus] abaqus如何建模?abaqus有限元分析教程
2023-07-07
[abaqus] 有限元分析软件abaqus单位在哪设置?【操作教程】
2023-09-05
[abaqus] abaqus软件中interaction功能模块中的绑定接
2023-07-19
[abaqus] abaqus怎么撤回上一步操作?abauqs教程
2024-05-01
[abaqus] abaqus里面s11、s12和u1、u2是什么意思?s和
2023-08-30
[abaqus] abaqus单位对应关系及参数介绍-abaqus软件
2023-11-20
[abaqus] abaqus软件教程|场变量输出历史变量输出
2023-07-18
[abaqus] abaqus中的s、u、v、e、cf分别是什么意思?
2024-05-11
[行业资讯] simulia简介-abaqus代理经销商思茂信息
2025-12-05
2025-12-05
[行业资讯] 如何合理选购abaqus软件并获取报价?达索代理商思茂信息
2025-12-05
[行业资讯] 思茂信息亮相2025省博士创新站活动 共探产学研新路径
2025-12-02
[行业资讯] 正版abaqus全国代理商:思茂信息——达索授权认证
2025-11-25
[行业资讯] 怎么联系cst studio suite代理商?达索sim
2025-11-25
2025-11-24
[行业资讯] 广东有限元分析软件abaqus采购指南-认准达索授权思茂信
2025-11-21
[行业资讯] 达索abaqus、cst代理商采购流程-指定授权代理商思茂
2025-11-21
[行业资讯] 广东2025半导体及零部件学会发展论坛落幕,广州思茂信息获
2025-11-20
地址: 广州市天河区天河北路663号广东省机械研究所8栋9层 电话:020-38921052 传真:020-38921345 邮箱:thinks@think-s.com
博天堂登陆 copyright © 2010-2023 广州思茂信息科技有限公司 all rights reserved. 粤icp备11003060号-2