轴对称元与三维元的对应关系
原始二维模型中使用的元素类型决定了新三维模型中的元素类型。您可以指定新元素应该是般的三维元素还是圆柱形元素。在同一模型中可以使用普通单元和圆柱单元。
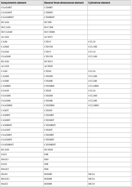
在二维模型中可以使用常规轴对称单元(cax)、扭转轴对称单元(cgax)、壳单元、膜单元、刚性单元和面单元,但是不能使用非线性轴对称单元(caxa)。包含不相容模态元素、一阶、降阶积分、连续体元素、壳元素或刚性元素的二维模型不能用于生成圆柱形元素。轴对称单元类型与等效三维单元类型(一般或圆柱形)的对应关系如表1所示。
表1:轴对称和三维(一般和圆柱) 单元类型之间的对应关系。
输入文件用法:
对称模型生成,旋转a点和b点的坐标
点c的坐标
段角,每个段的元素数,偏置比,圆柱形或一般
例如,下面的输入在300°截面中指定4个圆柱体单元,在60°截面中指定10个常规单元:
*symmetric model generation, revolve
ax, ay, az, bx, by, bz
cx, cy, cz
300.0, 4, 1.0, cylindrical
60.0, 10, 1.0, general
局限性
l 轴对称模型中不能同时使用一阶和二阶单元。
l 非轴对称元素,如弹簧、减震器、梁和架在模型生成中将被忽略。
l 只能旋转基于表面的接触对。使用一般接触的模型不能旋转。使用接触元素建模的接触条件将在模型生成中被忽略。
l 包含不相容模态元素、一阶、降阶积分、连续体元素、壳元素或刚性元素的二维模型不能用于生成圆柱形元素。
l 轴对称单元径向间距不均匀的钢筋不能旋转。
l 大多数类型的运动约束不能旋转。但是,在原始模型中定义的基于表面的约束 (mesh tie constraints和嵌入元素约束(embedded elements) 将在新的三维模型中自动生成。
l 只有应力/位移、热传递、温度-位移耦合和声学元件可以旋转
l 使用分布定义的空间变化场 (分布定义)不能旋转
旋转三维扇区建立周期模型
您可以通过围绕对称轴旋转单个三维扇区来创建三维周期模型。在周期性模型中的每个生成的最区可以在圆周方向上跨越相同的角度,例如在通风的盘中,或者可替换地,可以具有可变的角度,例如在胎面轮胎中。在这两种情况下,每个扇区始终具有相同的几何形状和网格。对称轴和原始三维扇区都可以相对于全局坐标系朝向任何方向 (见图2)。 不匹配的表面网格可以在扇区之间使用。打开(结构具有端边) 或闭合可以生成循环周期结构。如果需要创建一个闭环周期性结构,所有扇区的段角总和必须等于360°。
温馨提示:
此文档为达索官方英文文档翻译,尽管我们已经尽力确保准确性,但在翻译过程中可能会有一些错误或细微差别。如果想要了解官方原版,可联系客服进行索取。
2025-12-05
[行业资讯] simulia简介-abaqus代理经销商思茂信息
2025-12-05
[行业资讯] 如何合理选购abaqus软件并获取报价?达索代理商思茂信息
2025-12-05
[行业资讯] 思茂信息亮相2025省博士创新站活动 共探产学研新路径
2025-12-02
[cst] cst软件探索eft虚拟测试:从iec标准到3d仿真实战
2025-12-01
[abaqus] abaqus中理想弹塑性模型和弹塑性硬化模型区别
2025-11-28
2025-11-28
2025-11-28
[abaqus] 上课啦!达索系统 simulia abaqus pcb仿真
2025-11-26
[cst] 无参优化器:利用cst和tosca进行拓扑优化之单极天线(
2025-11-26
2023-08-29
2023-08-24
[abaqus] abaqus如何建模?abaqus有限元分析教程
2023-07-07
[abaqus] 有限元分析软件abaqus单位在哪设置?【操作教程】
2023-09-05
[abaqus] abaqus软件中interaction功能模块中的绑定接
2023-07-19
[abaqus] abaqus怎么撤回上一步操作?abauqs教程
2024-05-01
[abaqus] abaqus里面s11、s12和u1、u2是什么意思?s和
2023-08-30
[abaqus] abaqus单位对应关系及参数介绍-abaqus软件
2023-11-20
[abaqus] abaqus软件教程|场变量输出历史变量输出
2023-07-18
[abaqus] abaqus中的s、u、v、e、cf分别是什么意思?
2024-05-11
[行业资讯] simulia简介-abaqus代理经销商思茂信息
2025-12-05
2025-12-05
[行业资讯] 如何合理选购abaqus软件并获取报价?达索代理商思茂信息
2025-12-05
[行业资讯] 思茂信息亮相2025省博士创新站活动 共探产学研新路径
2025-12-02
[行业资讯] 正版abaqus全国代理商:思茂信息——达索授权认证
2025-11-25
[行业资讯] 怎么联系cst studio suite代理商?达索sim
2025-11-25
2025-11-24
[行业资讯] 广东有限元分析软件abaqus采购指南-认准达索授权思茂信
2025-11-21
[行业资讯] 达索abaqus、cst代理商采购流程-指定授权代理商思茂
2025-11-21
[行业资讯] 广东2025半导体及零部件学会发展论坛落幕,广州思茂信息获
2025-11-20
地址: 广州市天河区天河北路663号广东省机械研究所8栋9层 电话:020-38921052 传真:020-38921345 邮箱:thinks@think-s.com
博天堂登陆 copyright © 2010-2023 广州思茂信息科技有限公司 all rights reserved. 粤icp备11003060号-2