生成热矩阵
产品:abaqus/standard
概述
热矩阵生成:
l通过生成表示特定时间热导率、热容和载荷的全局或单元矩阵,允许模型数据的数学抽象,如网格和材料信息;
l将矩阵数据写入可由abaqus进一步处理的二进制sim文档;以及
l只能用作非耦合传热分析的一部分。
参考资料:
l元素矩阵装配实用程序
l*元素运算符输出
介绍
一个线性化的传热有限元模型可以概括为热负荷向量和热矩阵,代表的热容和热导率。这种数学抽象具有多种用途。例如,您可以使用这些矩阵与其他用户、供应商或软件包交换模型数据,而无需交换网格或材料信息。您还可以在模型降阶等技术中使用这些矩阵。这种抽象也可以推广到瞬态非线性问题,这些问题可以看作是由离散时间的热矩阵数据构造的一系列分段线性模型。
热矩阵生成发生在传热分析中,并考虑模型中的所有当前边界条件、载荷和材料响应生成的矩阵存储在一个名为iobnamethermn的sim文档中。其中iobname是输入文件或分析作业的名称,n是生成矩阵的abaqus传热步骤的编号。
定义矩阵类型
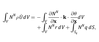
空间离散化的热传递方程的连续时间描述(见非耦合热传递分析)为
其中0是温度场,n“均为有限插值函数,p为材料密度,u为材料内能的时间导数k是(可能是各向异性的)电导率矩阵,r是单位体积的规定热流,v是畴的体积,s是单位面积o直接规定或通过薄膜和辐射条件指定热流的表面。
外通量向量p定义为
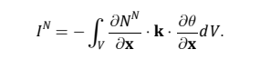
内流矢量i定义为
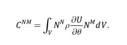
净通量向量f定义为内部通量向量i和外部通量向量p之和。热容矩阵c定义为
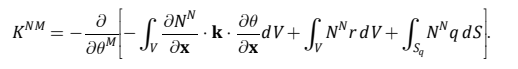
the thermal conductivity matrix k is defined as
也就是说,热导率矩阵是相对于节点的温度向量0的净通量向量的负衍生物,因此,包括依赖于温度的磁通条件,如薄膜和辐射的效果。
指定矩阵类型
您可以生成表示以下模型特征的热矩阵:
l热容量
l导热系数
l负载
如果热导率特性是温度相关的,则热导率矩阵具有不对称的贡献。仅当在步骤定义中激活了非对称求解器时才考虑该项(请参见定义分析)。
负载矩阵包含节点外部通量向量或净通量向量对应于在传热步骤中定义的负载。
温馨提示:
此文档为达索官方英文文档翻译,尽管我们已经尽力确保准确性,但在翻译过程中可能会有一些错误或细微差别。如果想要了解官方原版,可联系客服进行索取。
2025-12-05
[行业资讯] simulia简介-abaqus代理经销商思茂信息
2025-12-05
[行业资讯] 如何合理选购abaqus软件并获取报价?达索代理商思茂信息
2025-12-05
[行业资讯] 思茂信息亮相2025省博士创新站活动 共探产学研新路径
2025-12-02
[cst] cst软件探索eft虚拟测试:从iec标准到3d仿真实战
2025-12-01
[abaqus] abaqus中理想弹塑性模型和弹塑性硬化模型区别
2025-11-28
2025-11-28
2025-11-28
[abaqus] 上课啦!达索系统 simulia abaqus pcb仿真
2025-11-26
[cst] 无参优化器:利用cst和tosca进行拓扑优化之单极天线(
2025-11-26
2023-08-29
2023-08-24
[abaqus] abaqus如何建模?abaqus有限元分析教程
2023-07-07
[abaqus] 有限元分析软件abaqus单位在哪设置?【操作教程】
2023-09-05
[abaqus] abaqus软件中interaction功能模块中的绑定接
2023-07-19
[abaqus] abaqus怎么撤回上一步操作?abauqs教程
2024-05-01
[abaqus] abaqus里面s11、s12和u1、u2是什么意思?s和
2023-08-30
[abaqus] abaqus单位对应关系及参数介绍-abaqus软件
2023-11-20
[abaqus] abaqus软件教程|场变量输出历史变量输出
2023-07-18
[abaqus] abaqus中的s、u、v、e、cf分别是什么意思?
2024-05-11
[行业资讯] simulia简介-abaqus代理经销商思茂信息
2025-12-05
2025-12-05
[行业资讯] 如何合理选购abaqus软件并获取报价?达索代理商思茂信息
2025-12-05
[行业资讯] 思茂信息亮相2025省博士创新站活动 共探产学研新路径
2025-12-02
[行业资讯] 正版abaqus全国代理商:思茂信息——达索授权认证
2025-11-25
[行业资讯] 怎么联系cst studio suite代理商?达索sim
2025-11-25
2025-11-24
[行业资讯] 广东有限元分析软件abaqus采购指南-认准达索授权思茂信
2025-11-21
[行业资讯] 达索abaqus、cst代理商采购流程-指定授权代理商思茂
2025-11-21
[行业资讯] 广东2025半导体及零部件学会发展论坛落幕,广州思茂信息获
2025-11-20
地址: 广州市天河区天河北路663号广东省机械研究所8栋9层 电话:020-38921052 传真:020-38921345 邮箱:thinks@think-s.com
博天堂登陆 copyright © 2010-2023 广州思茂信息科技有限公司 all rights reserved. 粤icp备11003060号-2