这一期我们一起看一下cst自带案例之一,均匀的头模型和螺旋天线。component library 中搜sar,然后选head with helix antenna模型,或tlm。搜到的其他模型也是不错的sar 学习案例,这里重点解释怎样设置和计算sar。
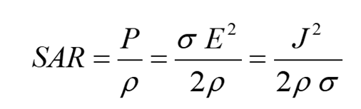
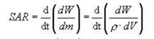
specific absorption rate (sar) 是比吸收率,生物组织单位时间 (dt) 单位质量 (dm 或ρdv) 所吸收的电磁波能量(dw)。
最新2017的sar标准iec/ieee62704-1目前还是要求六面体网格,也就是用cst时域t-solver计算sar是fcc认可的软件结果,cst也是国际sar标准委员会的成员。正在起草的iec/ieee 62704-4针对的是四面体fem, 目前(2020.5)还没正式公布。fcc要求1g为单位均值的max sar不超过1.6w/kg的,eu的标准则是10g均值的sar不超过2w/kg。这两个案例是用频域f-solver四面体和tlm solver六面体子网作为比较,展示这些求解器都可以算sar值,因为都可以计算电场,所以软件通过以下公式算sar。
step 1. 查看模型
头是均匀材料,名字叫liquid,介电常数42,通常人头内部组织液介电常数在40-42左右。类似的生物材料不在cst基本材料库里,需要bio model 3.1拓展包。注意,用来算sar的材料除了介电常数,一定要定义density,密度ρ。
手机为简单pec机壳加pec螺旋天线,有一个端口:
接下来看设置,频率为0-1.2ghz, 边界为open(addspace),仿天线推荐。
step 2. 功耗监视器
重点来了,仿sar值,一定要先加一个power loss density/sar 的场监视器。这里定义了一个900mhz 监视器,因为天线工作频率为900mhz。sar是人体吸收电磁波能量,power loss density是电磁波功率在介质材料中的损耗密度,正好被用来计算sar值。
接下来进行仿真,我们用三个不同的求解器t、f和tlm,不同的网格类型,在适当加密网格之后,三个s参数结果可以达到非常高的吻合度。
step 3. 后处理算sar
方法一,post-processing 的sar选项,这里可以选均值还是不均值的点sar值。均值的话单位是10克,1克,还是自定义。
然后在specials 里,可以重新定义端口的激励功率。如果不勾选userdefined,计算的sar值就是使用默认的端口峰值功率为1w(0.5w rms),这里我们用天线接收功率0.25w为例,accepted power 意思就是不考虑端口反射 (详见help) 。均值方法averaging method就用默认的2017年的ieee/ice 62704-1, 旧版本叫ieee p1528.1。该标准规定了仿真软件从一点计算sar平均值时用的能包括周围组织的正方体,正方体大小是根据被均值的质量,比如1g,和周围组织的密度。其他旧的标准也可以从该菜单中选择。这里选了1g均值, 可以估算一下等一下算sar的体积,因为头模型材料均匀,密度1000kg/m^3,所以头内部1g就是对应25px^3。subvolume是用户可以限制计算区域,选一部分体积来算sar值,可以提高后处理速度,尤其对于是更复杂的模型,比如voxel高分辨率的生物模型加上复杂手机。这里我们大概知道头的坐标区域,就定义了如下x,y, z 坐标区域:
设置好之后,点ok关掉specials,点击calculate.方法二:template based post-processing, 2d and 3d field results, sarresult选项
这里也可以做同样的设置得到sar的数据和空间分布,我们还是0.25接收功率,采样点设置为2mm,相对于25px^3的均值体积已经很精确了。
step 4. sar 数据
两种方法均可生成一个sar的2d/3d结果。右键点击,选择object information,如下图:
然后便显示sar的数据信息:
以t-solver结果为例:
|
是否根据用户定义的功率进行缩放 |
power scaling [w] |
0.25 accepted |
|
激励功率 |
stimulated power [w] |
0.252477 |
|
天线接收功率 (激励功率减去反射损耗) |
accepted power [w] |
0.25 |
|
平均网格质量 (所有包含有密度材料的网格) |
average cell mass [g] |
0.008 |
|
均值方法(不是算点sar的话) |
averaging method |
ieee/iec 62704-1 |
|
均值质量 |
averaging mass [g] |
1 |
|
在选择的区域内:selected volume: |
||
|
计算区域最小坐标 |
min (x,y,z) [mm] |
-90, -140, -240 |
|
计算区域最大坐标 |
max (x,y,z) [mm] |
90, 100, 10 |
|
计算区域体积 |
volume [mm^3] |
1.08e 07 |
|
所有介质吸收功率 |
absorbed power [w] |
0.139361 |
|
生物组织体积 |
tissue volume [mm^3] |
4.39679e 06 |
|
生物组织质量 |
tissue mass [kg] |
4.39679 |
|
生物组织吸收功率 |
tissue power [w] |
0.139361 |
|
生物组织平均功率 |
average power [w/mm^3] |
3.16961e-08 |
|
生物组织总sar (全体均值sar) |
total sar [w/kg] |
0.0316961 |
|
最大的点sar |
max. point sar [w/kg] |
9.24563 |
|
最大的1g 均值sar |
max sar (1g) [w/kg] |
2.63443 |
|
最大的1g 均值sar坐标 |
maximum at (x,y,z) [mm] |
75, -25, -151 |
|
均值最小体积坐标 |
avg.vol.min (x,y,z) [mm] |
69.855, -30.145, -156.145 |
|
均值最大体积坐标 |
avg.vol.max (x,y,z) [mm] |
80.145, -19.855, -145.855 |
|
最大的均值体积边长 |
largest valid cube [mm] |
10.3573 |
|
最小的均值体积边长 |
smallest valid cube [mm]: |
10 |
|
均值体积计算精度 |
avg.vol.accuracy [%] |
0.0001 |
然后我们选几个参考值,比较一下三个算法,都是加密网格之后:
|
t-solver |
tlm-solver |
f-solver |
|
|
absorbed power [w] |
0.139361 |
0.139815 |
0.140349 |
|
total sar [w/kg] |
0.0316961 |
0.0317891 |
0.0319208 |
|
max sar (1g) [w/kg] |
2.63443 |
2.64823 |
2.64651 |
|
maximum at (x,y,z) [mm] |
75, -25, -151 |
75, -23, -151 |
75, -23, -151 |
可见三种算法分别用不同的网格可以达到非常一致的sar结果,当然只有时域六面体sar结果目前被标准认可。这里算出来的maxsar (1g) 是2.6 w/kg,超过安全标准,原因一是我们的输入功率不实际,二是天线还没有被优化,比如没有天线罩。
step 5. sar 分布
三维的sar分布可以直接点击sar的2d/3d结果查看。这里可以看到热点在天线旁边的耳朵后面。这里面注意的是,这个头模型三维结构的表面是由三角形棱角的,和网格剖分无关,并不是说我们用的网格是四面体。
还可以利用macro –> results –> 2d 3d results -> plot averagingvolume for maximum sar value, 自动显示最大均值sar的计算体积和位置。
最后划重点:
生物材料要有密度。
要有power loss density/sar 监视器算三维场。
sar计算在后处理,采样很重要。
sar数据在objectinformation,新用户不容易找到。
其他关于sar更精确的仿真一些建议和技巧:
均匀组织液是常用的sar模型,如本案例中用的cad模型 ,而很多sar的计算的组织液模型其实只需要球形或方块就够了。
如果要比这个头模型更好的生物模型, cst有业界领先的体积像素voxel模型和各种组织材料,需要biomodel 3.1 拓展包。
天线附近的空气和靠近的组织推荐加个空气盒子,不包括在仿真内,但可用来本地加密网格。
生物组织材料要输入密度,金属结构不需要输入密度,不然sar也会算金属区域。
由于生物组织的材料特点,往往需要的网格数会很大,大多数sar用户选择gpu加速。
先定义一个局部区域电场监视器e-field,再定义功耗power loss,会节省场计算时间。
人体的血液流动带走热量,年龄也影响新陈代谢,这些因素cst都有功能可以考虑进去。
计算sar的根本目的是防止电磁波被人体吸收变成热量,将电磁功耗的结果转去cst热求解器来算温度升高也是非常好的做法,真正意义上的“烧脑”。
(内容、图片来源:cst仿真专家之路公众号,侵删)
博天堂登陆的版权与免责声明:
凡未注明作者、来源的内容均为转载稿,如出现博天堂登陆的版权问题,请及时联系918博天堂官网处理。我们对页面中展示内容的真实性、准确性和合法性均不承担任何法律责任。如内容信息对您产生影响,请及时联系918博天堂官网修改或删除。
2025-12-05
[行业资讯] simulia简介-abaqus代理经销商思茂信息
2025-12-05
[行业资讯] 如何合理选购abaqus软件并获取报价?达索代理商思茂信息
2025-12-05
[行业资讯] 思茂信息亮相2025省博士创新站活动 共探产学研新路径
2025-12-02
[cst] cst软件探索eft虚拟测试:从iec标准到3d仿真实战
2025-12-01
[abaqus] abaqus中理想弹塑性模型和弹塑性硬化模型区别
2025-11-28
2025-11-28
2025-11-28
[abaqus] 上课啦!达索系统 simulia abaqus pcb仿真
2025-11-26
[cst] 无参优化器:利用cst和tosca进行拓扑优化之单极天线(
2025-11-26
2023-08-29
2023-08-24
[abaqus] abaqus如何建模?abaqus有限元分析教程
2023-07-07
[abaqus] 有限元分析软件abaqus单位在哪设置?【操作教程】
2023-09-05
[abaqus] abaqus软件中interaction功能模块中的绑定接
2023-07-19
[abaqus] abaqus怎么撤回上一步操作?abauqs教程
2024-05-01
[abaqus] abaqus里面s11、s12和u1、u2是什么意思?s和
2023-08-30
[abaqus] abaqus单位对应关系及参数介绍-abaqus软件
2023-11-20
[abaqus] abaqus软件教程|场变量输出历史变量输出
2023-07-18
[abaqus] abaqus中的s、u、v、e、cf分别是什么意思?
2024-05-11
[行业资讯] simulia简介-abaqus代理经销商思茂信息
2025-12-05
2025-12-05
[行业资讯] 如何合理选购abaqus软件并获取报价?达索代理商思茂信息
2025-12-05
[行业资讯] 思茂信息亮相2025省博士创新站活动 共探产学研新路径
2025-12-02
[行业资讯] 正版abaqus全国代理商:思茂信息——达索授权认证
2025-11-25
[行业资讯] 怎么联系cst studio suite代理商?达索sim
2025-11-25
2025-11-24
[行业资讯] 广东有限元分析软件abaqus采购指南-认准达索授权思茂信
2025-11-21
[行业资讯] 达索abaqus、cst代理商采购流程-指定授权代理商思茂
2025-11-21
[行业资讯] 广东2025半导体及零部件学会发展论坛落幕,广州思茂信息获
2025-11-20
地址: 广州市天河区天河北路663号广东省机械研究所8栋9层 电话:020-38921052 传真:020-38921345 邮箱:thinks@think-s.com
博天堂登陆 copyright © 2010-2023 广州思茂信息科技有限公司 all rights reserved. 粤icp备11003060号-2