1.引言
高速铁路的发展带来了非常明显的经济效益和社会效益,高速铁路以其平稳、安全、舒适等特点为改善人们的生活做出了巨大贡献。我国高速铁路运营里程逐年增加,从2013年的1.1万公里增加到了2020年的3.8万公里。随着高速动车组运营里程的增大,车轮踏面损伤层出不穷,其中典型的主要包括:车轮多边形、扁疤、轮径差、踏面凹型磨耗等,这些车轮损伤直接影响着高速动车组运营性能和旅客乘坐舒适度,同时容易造成结构件疲劳损伤。
对于轮轨踏面损伤的研究一直是轨道车辆领域的研究热点,大多数学者对于轮轨踏面损伤机理和对于转向架部件疲劳损伤两个方面。其中,通过建立三维车辆-轨道耦合动力学模型仿真分析了车轮多边形磨耗的形成机理,wuxingwen等[4]通过建立考虑详细的轨下模型,利用achard磨耗模型分析了高速动车组高阶车轮多边形的形成机理。对于多边形问题的研究进行了详细的阐述。建立了车轮扁疤损伤模型,分别分析了速度、扁疤长度等参数对于轮轨冲击的影响。建立高速动车组刚性模型,分析了其对安全性的影响和相关限值。建立三维扁疤模型,进一步提高了仿真精度,并与二维扁疤模型对比分析。
建立了刚柔耦合动力学模型分析扁疤引起的动态响应。分析了不同的轮径差型式对于刚性车辆动力学模型的响应分析。研究了轮经差对于安全性的影响。通过建立高速动车组动力学模型,分别分析了转向架安装偏角和轮经差对于车轮磨耗的影响。分析了我国高速列车不同的轮轨型面匹配下的车辆动力学性能的影响,分析了系统参数对于车轮踏面凹型磨耗的影响。以上学者对于四种损伤型式下的作用机理作了详细的研究,但对于与乘客密切相关的舒适度和平稳性研究较少,建立基于因子分析与ahp的舒适度评价模型并通过实例验证,介绍了高速列车平稳性与乘坐舒适度测试及评价方法,但对于轮轨损伤状态下的舒适度和平稳性没有进行相关分析。
本文通过建立考虑车体弹性的高速动车组刚柔耦合动力学模型,在此基础上,分别分析了四种典型的车轮型面损伤对于平稳性和舒适度的影响,对比分析刚性模型和刚柔耦合模型的区别。
2.刚柔耦合车辆模型建立
建立crh3型高速列车刚柔耦合模型,该列车使用s1002cn踏面,图1为车辆系统动力学模型,选取1个车体,2个构架、4个轮对(前2个轮对考虑轮对弹性)与8个转臂以及一系悬挂和二系悬挂系统组成车辆刚柔耦合系统。车体、构架、轮对考虑了纵向、横向、垂向、侧滚、点头、摇头六个自由度。轮对的垂向和侧滚运动耦合在一起;转臂只考虑点头自由度;以车辆前进方向为x轴,y轴为平行于轨道方向,z轴为垂直于轨道向下建立坐标系。其中将车体考虑为柔性体,建立车辆刚柔耦合系统动力学模型。刚柔耦合模型如图1所示,模型中相关参数如表1所示。考虑轮轨非线性的接触关系和车辆悬挂系统,车辆系统的动力学方程表示为
式(1)中,分别为系统的质量矩阵、阻尼矩阵和刚度矩阵;x为坐标矢量;为非线性力元,包括有非线性的悬挂力和轮轨力,t为时间为轨道输入的分布矩阵;为轨道不平顺。对于轮轨法向力采用hertz接触算法,切向力采用典型的fastsim快速算法。
图 1 动车组刚柔耦合动力学模型建立
表 1 车辆部分参数
3. 平稳性和舒适度评价
在车辆运行品质中,加速度的幅值、频率以及持续时间是一些需要考虑的参数,我国主要采用《gb 5599-85 铁道车辆动力学性能评定和试验鉴定规范》,而对于高速动车组动力学性能主要参照《高速动车组整车试验规范》,测点分布如图 3 所示,主要是在地板面上,平稳性前后两个测点在转向架上方偏离中心线 1m,而舒适度测点主要分布在车体中心线前中后三个测点。通常平稳性计算时计算横向平稳性和垂向平稳性,舒适度只计算前中后三个测点的值。
平稳性指数 w 主要由 sperling 经验公式计算。其极限值为 w≤2.75:
其中,w 为平稳性指数,a和f为振动加速度和振动频率, 为频率修正系数,修正系数参照标准 gb5599-85 见表 2。
表 2 平稳性修正系数
舒适性指标是反映旅客疲劳程度的一个指标:
其中:nf,nm和nr分别为车体前端,中部和后部和旅客舒适度,n为整车舒适度。
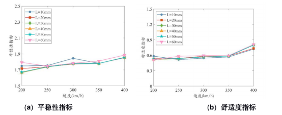
其中 是加速度均方根值,wb和wd根据权重曲线的取值。为了进一步分析考虑弹性模型和刚性模型对于平稳性和舒适度的影响,采用 wg90轨道谱,直线工况下速度为 200 km/h~400 km/h 时下的平稳性和舒适度指标,如图 2 所示。可以看出,考虑轮对弹性后,平稳性指标和舒适度指标都有不同程度的增大,当速度达到 400 km/h 时,弹性模型横向平稳性指标为 1.863,较刚性模型增大 3.4%,弹性模型垂向平稳性值为 1.54,增大 18.64%。考虑车体弹性时,舒适度指标和刚性模型相差较大,当速度为 400 km/h 时,分别为 0.333 和 0.597,考虑车体弹性模型增大79.3%。
(a)平稳性指标 (b)舒适度
图 2 刚性模型和刚柔耦合模型平稳性和舒适度对比
4. 不同轮轨损伤状态下的舒适度分析
服役状态下,高速动车组车轮损伤型式主要包括:车轮多边形,扁疤,车轮的轮径差,轮轨磨耗,为了分析各种轮轨损伤状态下的平稳性和旅客舒适度的影响,通过建立的刚柔耦合动力学模型,分析了各种损伤状态下的平稳性和舒适度指标。
4.1 多边形磨耗作用下的平稳性和舒适度分析
车轮多边形磨耗在我国高速动车组运营中一种常见的车轮磨耗,目前高速动车组是以高阶多边形为主,图 3 给出了实测的 19 阶车轮多边形磨耗。
图 3 实测车轮多边形
将车轮多边形进行径向延拓,转化为轮轨界面的不平顺输入轮轨系统。建立了车轮多边形激扰的数学模型,当车轮半径为 的列车以速度 运行时,则第 阶多边形可以表示为:
式中: 是多边形幅值; 是初始相位。多边形磨耗引起的车辆振动频率为:
式中: 是阶数; 是车速; 是车轮滚动圆半径。
采用以上多边形模型,速度为 300 km/h,不同阶数和幅值下的平稳性和舒适度值
如图 4 所示。首先分析不同阶数下的平稳性和舒适度的值,此时多边形幅值设为0.01mm,可以看出,随着阶数的增大,平稳性和舒适度的值不断增大,考虑车体弹性时,平稳性从 1.786 增大到 1.866,舒适度指标从 0.612 增大到 0.662,随着幅值从0.01mm 增大到 0.09mm,此时阶数为 20 阶,弹性车体平稳性和舒适度也不断增大,但增大幅值较小。
图 4 实测车轮多边形
4.2 车轮扁疤作用下的平稳性和舒适度分析
车轮扁疤取决于扁疤长度和车辆速度,有效的擦伤形状对于产生的冲击载荷峰值影响较大。在实际运营中,理想新擦伤并非经常出现,一旦出现,经过一段时间运行后,车轮踏面擦伤棱角受冲击荷载作用很快被磨圆,俗称旧扁疤。用 lyon 扁疤冲击激扰模型表示,扁疤不平顺公式为:
将扁疤深度与扁疤长度的关系折算为扁疤深度与旋转角度之间的关系,用车轮半径减去扁疤深度得到旧扁疤的车轮周向半径。采用以上模型可以计算出不同深度和长度下的扁疤如图5所示。
为了进一步分析不同扁疤长度下的平稳性和舒适度值,采用弹性车体模型计算,如图 6 所示,可以看出,随着速度增大,平稳性和舒适度指标有所增大,但是随着扁疤长度的增大,其幅值变化不大,对于整车平稳性影响较小,这主要是因为悬挂装置起到很好得隔振作用,对平稳性和舒适度影响较小。
图 5 不同长度和深度下的扁疤
图 6 不同扁疤长度下的平稳性和舒适度指标
4.3 轮径差作用下的平稳性和舒适度分析
轮径差是轨道车辆运行中典型的一种踏面损伤,由于线路和车辆自身的原因,同一个转向架四个车轮都存在一定的轮径差。考虑同向轮径差和反向轮径差,以及一位轮对和二位轮对的交叉共四种工况,如图 9 所示,图 7(a) 中转向架前轮对有轮径差;图7(b) 中转向架后轮对有轮径差;图 7(c)中转向架前后轮对都有轮径差且同向;图 7(d)中转向架前后轮对都有轮径差且反向。分析以上四种工况下及不同轮经差幅值对于高速列车平稳性和舒适度的影响。
图 7 常见的轮径差型式
为了进一步分析以上轮经差对于平稳性和舒适度的影响,将轮径差设置为 2mm,分别分析不同型式下的平稳性和舒适度指标。为了简化计算,这里只计算了考虑弹性车体下的四种工况下的轮径差,具体如图 8 所示,可以看出,前轮对和后轮对单独出现轮经差时对平稳性和舒适度影响较小,且两者比较接近,随着速度的增高,平稳性和舒适度值增加较小。同向轮径差作用时平稳性和舒适度指标增加最大,速度达到400km/h,平稳性和舒适度指标值分布为 2.05 和 1.31,较前轮对轮经差分别增大11.2%和 70.1%。
图 8 轮径差作用下的平稳性和舒适度
4.4 车轮凹型磨耗状态下平稳性和舒适度分析
为了进一步分析凹型踏面磨耗对于车辆平稳性和舒适度的影响,选取磨耗后期的实测踏面 s100cnwear 型面和磨耗钢轨型面 rail60wear,分别分析了新轮和磨耗轮状态下的轮轨接触关系和等效锥度如图 9 所示,首先磨耗后期凹型磨耗严重,出现假轮缘,接触点主要集中在轮缘根部区域和钢轨轨肩区域,出现典型的两点接触现象,对于这一区域的,对于钢轨顶部接触几乎接触不到。分别计算两种型面的等效锥度可以看出,在 3mm 处,新轮新轨等效锥度为 0.17,磨耗车轮和磨耗钢轨等效锥度为0.45,此时车辆很容易引发车体抖振现象。
为了进一步分析车轮磨耗和钢轨磨耗状态下的平稳性和舒适度指标,分别计算刚性和弹性车体两种模型如图 10 所示,可以看出考虑弹性车体时,车辆平稳性和舒适度指标都大幅增加,当速度达到 275 km/h 时,车体横向平稳性值已经超高了 2.5,速度达到 400 km/h 时,考虑弹性模型其横向平稳性较刚性模型增大 62.5%,垂向平稳性指标增大 73.3%。同时舒适度指标,增幅也较大,考虑弹性模型较刚性模型增大71.4%,因此,在磨耗后期分析车辆平稳性和舒适度问题时,很有必要考虑车体弹性。
(a)轮轨接触关系
图 9 车轮磨耗后期的轮轨关系
图 10 车轮磨耗后期的抖振状态下的平稳性和舒适度
5. 结论
本文通过建立考虑车体弹性的刚柔耦合动力学模型的基础上,分别分析了典型的四类车轮型面损伤对于车体平稳性和舒适度的分析,得到以下结论:
(1)考虑车体弹性后,在没有车轮型面损伤的情况下,稳性指标和舒适度指标都增大,当速度达到 400 km/h 时,弹性模型横向平稳性指标较刚性模型增大 3.4%,垂向平稳性增大 18.6%,整车舒适度指标增大 79.3%。
(2)当车轮多边形激励作用时,随着幅值和阶数的增大,平稳性和舒适度都增大,当扁疤激励作用时,随着扁疤长度的增大,对于舒适度和平稳性影响较小。
(3)轮径差作用时,同向轮径差和反向轮径差影响较大,在车轮发生凹型磨耗时,钢轨型面也发生磨耗时,由于锥度增大,这时很容易引发车体抖振现象,需要考虑车体弹性的作用,当速度达到 275 km/h 时,车体横向平稳性值已经超高 2.5。
资料来源:达索官方
2025-12-05
[行业资讯] simulia简介-abaqus代理经销商思茂信息
2025-12-05
[行业资讯] 如何合理选购abaqus软件并获取报价?达索代理商思茂信息
2025-12-05
[行业资讯] 思茂信息亮相2025省博士创新站活动 共探产学研新路径
2025-12-02
[cst] cst软件探索eft虚拟测试:从iec标准到3d仿真实战
2025-12-01
[abaqus] abaqus中理想弹塑性模型和弹塑性硬化模型区别
2025-11-28
2025-11-28
2025-11-28
[abaqus] 上课啦!达索系统 simulia abaqus pcb仿真
2025-11-26
[cst] 无参优化器:利用cst和tosca进行拓扑优化之单极天线(
2025-11-26
2023-08-29
2023-08-24
[abaqus] abaqus如何建模?abaqus有限元分析教程
2023-07-07
[abaqus] 有限元分析软件abaqus单位在哪设置?【操作教程】
2023-09-05
[abaqus] abaqus软件中interaction功能模块中的绑定接
2023-07-19
[abaqus] abaqus怎么撤回上一步操作?abauqs教程
2024-05-01
[abaqus] abaqus里面s11、s12和u1、u2是什么意思?s和
2023-08-30
[abaqus] abaqus单位对应关系及参数介绍-abaqus软件
2023-11-20
[abaqus] abaqus软件教程|场变量输出历史变量输出
2023-07-18
[abaqus] abaqus中的s、u、v、e、cf分别是什么意思?
2024-05-11
[行业资讯] simulia简介-abaqus代理经销商思茂信息
2025-12-05
2025-12-05
[行业资讯] 如何合理选购abaqus软件并获取报价?达索代理商思茂信息
2025-12-05
[行业资讯] 思茂信息亮相2025省博士创新站活动 共探产学研新路径
2025-12-02
[行业资讯] 正版abaqus全国代理商:思茂信息——达索授权认证
2025-11-25
[行业资讯] 怎么联系cst studio suite代理商?达索sim
2025-11-25
2025-11-24
[行业资讯] 广东有限元分析软件abaqus采购指南-认准达索授权思茂信
2025-11-21
[行业资讯] 达索abaqus、cst代理商采购流程-指定授权代理商思茂
2025-11-21
[行业资讯] 广东2025半导体及零部件学会发展论坛落幕,广州思茂信息获
2025-11-20
地址: 广州市天河区天河北路663号广东省机械研究所8栋9层 电话:020-38921052 传真:020-38921345 邮箱:thinks@think-s.com
博天堂登陆 copyright © 2010-2023 广州思茂信息科技有限公司 all rights reserved. 粤icp备11003060号-2