1. 引言
随着环境科学的发展进步,人们越来越关注与自身健康相关的建筑内外环境质量问题。优化剧院设计方案,选择合适的气流组织形式,从而营造良好的热湿环境是剧院空调设计的主要目标。目前在暖通工程领域中,对气流组织设计采用的方法主要有射流公式、模型实验、cfd(computational fluid dynamics)方法(chen,2004;马超,2005)。实际工程的气流组织形式变化多样,而射流分析方法只能给出室内的热湿环境的一些整体指标,无法满足设计者详细了解室内空气分布情况的要求;模型实验虽然能够得到设计人员所需要的各种数据,但需要较长的实验周期和较高的成本。应用 cfd 技术能够模拟预测建筑空调系统的气流组织、温度场、风速场并基于此进行多精细度的热湿环境评价,在方案初期给设计人员提供优化设计方案的依据。
cfd 模拟技术已经广泛应用于封闭空间气流组织的研究中,由于网格划分、计算效率等因素的制约,通常假定室内空气流动为稳态湍流流动,采用基于 rans(reynoldsaverage numerical simulation)的稳态分析对建筑通风系统进行多方案比选和优化,关注建筑物的流场分布特性(王锋,2011;刘华,2017)。然而在实际应用的时候,建筑物在通风系统作用下的流场变化的过程以及达到指定温度所需要的时间同样是暖通设计关注的重点。基于 les(large eddy simulation)的瞬态分析手段能够给出实时的流场变化以及流场达到稳定所需要的时间,但是对计算域的尺寸和几何边界的空间离散形式提出了更高的要求(王汉青,2003)。基于 lbm 的商用求解器 xflow 能够适用于任意复杂几何边界,能够实施高效率的 les 计算分析,多用于工业设计领域(holman d m,2012)。lbm 方法在建筑风环境和热环境等绿色建筑评价方面也有一些应用,主要是针对风速场和温度场的分析,针对热湿环境评价指标方面的分析较少。
本文以湖北剧院项目为例,采用基于 lbm 方法的 xflow 软件对建筑热湿环境进行分析,利用开源后处理软件 paraview 给出 pmv 和 ppd 等热舒适度指标,建立了以 xflow软件为基础的绿色建筑评价方法。
2. xflow 基本原理及设置
2.1 控制方程
目前室内通风系统模拟主要采用的是基于有限体积法求解 navier stokes 方程的求解器,包括 fluent、star-ccm 等,都需要复杂的网格划分方案,而且往往只能采用基于rans 的稳态分析,忽略了流体的瞬时变化过程,在解决实际工程问题时存在一定的局限性。
在过去几年中,基于玻尔兹曼方程的最小动力学模型的方案(lbm)作为传统 cfd方法的可靠替代方案的求解器,如 xflow 和 powerflow,越来越受欢迎。格子玻尔兹曼方法最初是作为格子气体自动机的改进修改而开发的,结合了动力学理论,可用于模拟多种物理现象。相比于采用连续性方程和 ns 方程来描述宏观尺度流体运动的传统 cfd 求解器,lbm 采用的是介于宏观流体连续性假设与微观分子动力学之间的介观模拟方法,同时具有微观方法的适应性广和宏观方法的不关注分子运动细节的特点,精度和计算量上均有较大优势(boltzmann,l,1970)。在 lbm 模型中,假设宏观流体由大量虚拟流体粒子构成,通过粒子的对流和碰撞这两种运动模式来描述流体的宏观运动。
其中, 为 方向的离散速度向量, 为粒子在 方向的速度分布函数, 为空间位置向
量, 为从时间 之后的时间增量, 为碰撞算子。
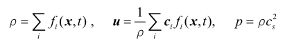
格子布尔兹曼方程描述了微观流体分子的时空分布演化过程。基于动理学理论,将格子布尔兹曼方程进行 chapman-enskog 多尺度展开,可以导出宏观流体力学的连续性方程和 ns 方程,从而建立密度、速度、压强等流体的宏观物理量与微观粒子的速度分布函数之间的关系,表达式为
其中, 为密度, 为速度向量, 为压强。
2.2 空间离散方法
xflow 采用了基于粒子的空间离散方案,依赖于以八叉树结构组织的晶格,采用d3q27 的算法(bao y b,2014)进行格子划分,能够适应各类复杂的几何边界。八叉树结构能够实现非均匀晶格,在流体域不同位置使用不同尺度的晶格结构,粗尺度的晶格可以在过渡边界处分叉为两个细尺度的晶格,如图 1 所示。需要注意的是, 晶格过渡将不可避免地会引入一定的数值误差,因此在使用局部网格加密时,应进行网格敏感性验证。
图 1 xflow 晶格结构以及过渡方式示意图
2.3 湍流模型
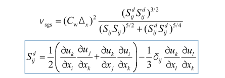
xflow 采用大涡模拟(les)方法,在计算时利用滤波函数将流场中涡结构根据尺度大小进行划分,对大尺度的流场结构直接求解,而对小尺度的流场结构进行模型化处理。滤波处理后的 n-s 方程需要引入表征大、小尺度涡结构相互作用的亚格子应力项。xflow软件集成了常用的亚格子模型,如 smagorinsky 模型、dynamic smagorinsky 模型以及wale 模型(ducros f,1998),其中 wale 模型提供一致的局部涡黏度和壁面行为,其表达式为
其中 为滤波尺寸,常数 一般取 0.325。
3. 建筑气流组织分析
剧院的主体是舞台和观众厅,舞台气流组织设计的难点在于保证舞台表演效果的同时,既能有效消除灯光设备等产生的大量热负荷,又能满足人体热舒适的要求;观众厅人员密度大, 会产生大量的热湿负荷,所以观众厅的气流组织设计需要在消除散湿量、散热量的同时,既能保证气流分布的均匀性又能满足人体热舒适的要求。在方案阶段采用 xflow 辅助暖通系统的改造设计,可以对室内通风系统的热舒适性进行评估,针对观众区和舞台区等重点区域的气流和热环境进行三维可视化呈现,并根据分析结果对通风系统的有效性进行检验,采用 xflow 进行室内空调系统分析的计算参数设置如表 1 所示。根据湖北剧院 cad 设计图纸和暖通设计信息,建立剧院三维几何模型如图 2 所示。该模型考虑了包括观众区和舞台区所有区域,仅对局部区域进行了几何简化。
根据实际可能的室内通风系统运行情况,确定 cfd 计算工况如表 1 所示。根据国内已有文献研究,综合考虑室外热传导以及灯光产热,顶部天花板热通量取 50w/m2。考虑座位下部送风和舞台区送风,送风风速根据暖通设计要求确定。人体新陈代谢率、服装热阻、人体温度等人体参数模型根据暖通相关规范选取。在进行 cfd 计算分析时,考虑了如下假设:1)假设室内空气不可压缩,采用 buossinesq 浮力假设;2)假设流体内流体的湍流各向同性;3)假设室内不考虑漏风影响,不考虑门口通风,气密性良好。
表 1 xflow 计算求解参数设置
图 2 剧院三维几何模型及边界条件示意图
表 2. cfd 计算工况
经过网格敏感性分析,最终确定 xflow 的晶格数为 115 万万,座位和通风口处的网格为 0.125m,其他区域的求解尺寸为 1m,如图 3 所示。
图 3 剧院计算域网格划分
在观众厅空调设计时,需充分考虑观众区人员聚集、长时间坐立不能走动这些因素,最大程度提升演出期间,观众区的热舒适性。采用 xflow 软件的,详细计算分析了不同季节空调系统运行情况下剧院室内的气流组织与热环境情况。采用 xflow 进行剧院夏季降温过程瞬态仿真,结果发现初始温度 35 摄氏度满座情况下,开启空调 10min 后温度逐渐稳定至 24 摄氏度,温度云图如图 4 所示。夏季工况时,竖向温度热分层现象明显,水平方向温度变化较均匀。如图 5 所示的风速云图表明座位附近风速基本小于 0.3m/s,观众无明显的吹风感。此外,图 6 所示的气流轨迹和三维表面温度云图也可以直观地看出室内气流的走向和各区域的之间的温差。
图 4 夏季剧院空调运行 10min 后的温度云图
图 5 夏季剧院空调运行 10min 后的风速云图
图 6 夏季剧院空调运行 5min 气流轨迹和表面温度云图
4. 热舒适度评价
热舒适评价是组成室内环境质量评价体系的重要一项。目前,广泛应用于评价建筑热湿环境的指标是丹麦技术大学 p. o. fanger 教授提出的 pmv 指标(predicted mean vote,预计平均热感觉指数)(黑赏罡,2017)。
pmv 综合考虑了影响人体热舒适的 6 个物理变量,包括空气温度、风速、环境表面平均辐射温度、相对湿度以及服装热阻和人体代谢率,其值范围是-3~0~ 3,其中 0 表示不冷不热(即“热中性”或简称“中性”),负值为冷,正值为热,绝对值越大偏离热中性就越多。pmv 指标描述的是绝大多数人在特定环境下的热感觉,没有考虑不同人之间的生理 差 异 。 因 此 fanger 就 基 于 pmv 指 标 又 提 出 了 ppd 指 标 ( predicted percentage dissatisfied 预计不满意者的百分数),从而预测不同人群对某一热湿环境不满意的比例。
ppd 与 pmv 之间的关系如图 7 所示。《民用建筑室内热湿环境评价标准》gbt 50785-2012 给出了不同等级的热湿环境以及对应的 pmv 和 ppd 指标,其中 i 级热湿环境为人群中 90%感觉满意的热湿环境,其整体热舒适度评价指标满足-0.5≤pmv≤ 0.5,ppd≤10%。
表 3. 热湿环境整体评价指标
图 7pmv 与 ppd
xflow 的后处理功能中,只能输出风速、温度等基本的流场物理量,而没有热舒适度评价相关指标输出,但是可以导出通用的 cfd 结果文件格式,例如 paraview 支持的 vtu格式。因此研究团队基于开源后处理软件 paraview 进行二次开发,对 xflow 导出的结果文件进行计算分析,可以给出 pmv 和 ppd 指标,拓展了 xflow 在建筑热湿环境分析方面的应用。
图 8 剧院 pmv 云图
表 4. 各工况热湿环境评价指标.
5. 总结
本文首先对 xflow 的基本原理和软件设置进行了梳理,针对室内热湿环境评价分析需要注意的计算参数设置进行了详细介绍。然后以湖北剧院为例介绍了 xflow 软件在气流组织和热舒适度分析中的应用,并且利用 paraview 软件的二次开发功能,建立了以 xflow软件为基础的绿色建筑评价方法。有以下如下结论可供参考:
(1)结合 lbm 方法的基本原理,介绍了开展室内热湿环境分析需要注意网格划分、
湍流模型选取等计算设置。
(2)基于 xflow 的气流组织分析能够较好地再现室内气流运动轨迹和温度热分层现
象,能够满足空调系统方案辅助设计的需求。
(3)采用 xflow 作为求解器,导出 vtu 数据格式,结合 paraview 软件开展后处
理,能够导出 pmv、ppd 等指标,有助于开展绿色建筑评价。本文基于 xflow 开展室内气流组织分析和基于 paraview 开展的二次开发研究,充分发挥这两款软件的优势,拓展了 xflow 软件在建筑行业内的适用性,可供其他行业参考。
资料来源:达索官方
2025-12-05
[行业资讯] simulia简介-abaqus代理经销商思茂信息
2025-12-05
[行业资讯] 如何合理选购abaqus软件并获取报价?达索代理商思茂信息
2025-12-05
[行业资讯] 思茂信息亮相2025省博士创新站活动 共探产学研新路径
2025-12-02
[cst] cst软件探索eft虚拟测试:从iec标准到3d仿真实战
2025-12-01
[abaqus] abaqus中理想弹塑性模型和弹塑性硬化模型区别
2025-11-28
2025-11-28
2025-11-28
[abaqus] 上课啦!达索系统 simulia abaqus pcb仿真
2025-11-26
[cst] 无参优化器:利用cst和tosca进行拓扑优化之单极天线(
2025-11-26
2023-08-29
2023-08-24
[abaqus] abaqus如何建模?abaqus有限元分析教程
2023-07-07
[abaqus] 有限元分析软件abaqus单位在哪设置?【操作教程】
2023-09-05
[abaqus] abaqus软件中interaction功能模块中的绑定接
2023-07-19
[abaqus] abaqus怎么撤回上一步操作?abauqs教程
2024-05-01
[abaqus] abaqus里面s11、s12和u1、u2是什么意思?s和
2023-08-30
[abaqus] abaqus单位对应关系及参数介绍-abaqus软件
2023-11-20
[abaqus] abaqus软件教程|场变量输出历史变量输出
2023-07-18
[abaqus] abaqus中的s、u、v、e、cf分别是什么意思?
2024-05-11
[行业资讯] simulia简介-abaqus代理经销商思茂信息
2025-12-05
2025-12-05
[行业资讯] 如何合理选购abaqus软件并获取报价?达索代理商思茂信息
2025-12-05
[行业资讯] 思茂信息亮相2025省博士创新站活动 共探产学研新路径
2025-12-02
[行业资讯] 正版abaqus全国代理商:思茂信息——达索授权认证
2025-11-25
[行业资讯] 怎么联系cst studio suite代理商?达索sim
2025-11-25
2025-11-24
[行业资讯] 广东有限元分析软件abaqus采购指南-认准达索授权思茂信
2025-11-21
[行业资讯] 达索abaqus、cst代理商采购流程-指定授权代理商思茂
2025-11-21
[行业资讯] 广东2025半导体及零部件学会发展论坛落幕,广州思茂信息获
2025-11-20
地址: 广州市天河区天河北路663号广东省机械研究所8栋9层 电话:020-38921052 传真:020-38921345 邮箱:thinks@think-s.com
博天堂登陆 copyright © 2010-2023 广州思茂信息科技有限公司 all rights reserved. 粤icp备11003060号-2