0 引言
当行驶中的汽车在天窗或侧窗打开时,车内通常产生强烈的轰鸣声,这种噪声被称为风振噪声。天窗打开的汽车在气流中运动,车身表面存在一层不稳定的气流剪切层,剪切层遇到天窗前部边缘处,车身表面的漩涡脱离车身并随着剪切层气流向后运动。当漩涡碰到天窗的后边缘时,漩涡破裂并产生向四周扩散的压力波。传到车外的一部分压力波到达开口的前缘,将再次引发涡旋的脱落。这个过程每秒钟会重复很多次,并且引起剪切层产生一个特定的振动频率,如果这个频率与车厢的固有频率相同,将会发生共振,这种类型的共振称为亥姆霍兹共鸣。
本文针对某乘用车存在的天窗风振噪声问题,利用 cfd 方法对其进行仿真分析,并与道路试验结果进行对比,验证了数值仿真分析的有效性。通过对比天窗扰流板不同高度和倾角度的天窗风振噪声,总结了扰流板高度和倾角度对天窗风振噪声的影响规律,并在此基础上提出了导流板的改进建议。
1 汽车风振噪声产生的机理
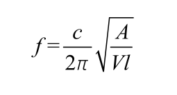
汽车在低速行驶时,开启天窗的过程伴随着风振噪声的产生。开窗的车身声腔可以看成是一个赫尔姆兹谐振腔,则赫尔姆兹谐振腔的频率可以由公式(1)表示。
其中 f 为谐振腔的频率,c 为风速,a 为谐振腔的开口面积,v 为谐振腔的容积,l 为谐振腔的开口高度。可见腔体的共振频率取决于车速、开口大小及腔体的空间大小。
2 初始模型天窗风振分析
2.1有限元模型建立
计算模型为某 suv 乘用车,把外饰模型(如图 1(a)所示)和内饰模型(如图 1(b)所示)按 1:1 的比例导入到 hypermesh 中建立三维模型,对车身模型进行处理,分析模型基本包括所有对天窗风振有影响的部件。
图 1 计算模型
在模型外部建立一个长方体计算域,模拟汽车周围的空气流动,如图 2 所示。计算域长度为9 倍车长;宽度为 6 倍车宽;高度为 4 倍车高。
图 2 计算域
对面网格进行检查和修复后生成体网格,对体网格进行适当加密,可以有效提高计算的精度,尤其是天窗区域等容易引起气流分离的部件,网格加密如图 3 所示。监测点为驾驶员右耳。
图 3 网格加密侧视图
2.2 边界条件设定
计算采用显示 powerflow 全瞬态分析方法,设定入口速度 60km/h;出口为压力出口边界,出口压力为 0;地面为滑移壁面,速度为 60km/h;汽车表面为壁面边界,壁面为绝热非滑移壁面。
2.3仿真结果及分析
观察整车天窗风振噪声结果声压级曲线图(图 4),由图可知,初始模型天窗共振频率在19.98hz,峰值在 100 db。
图 4 声压级曲线图
观察天窗区域压力云图(图 5),气流经过天窗扰流板上缘后,形成强大涡流,直接打在天窗后缘,产生向四周扩散的压力波,从而形成共振噪声。
从云图上可知,天窗扰流板对气流的导流作用效果非常明显,为了改善天窗风振噪声,合理地设计扰流板可以将气流向后导流,避免气流直接打在天窗后缘。直接影响扰流板导流效果的关键因素是扰流板的垂直高度和倾角度,因此后期进行参数化研究时主要从这两个方面选取参数。
图 5 天窗区域压力云图
2.4仿真与试验对比
观察仿真与道路试验结果对比图(图 6),仿真与测试结果高度一致,峰值相差在 6db(a)以内,且峰值对应的共振频率一致。误差在控制范围以内,说明本次数值仿真分析方法的有效性和准确性。
图 6 仿真与测试结果对比
3 参数化设计分析
3.1设计参数选取
扰流板的垂直高度和倾角度是直接影响扰流板导流效果的关键因素,因此选取扰流板的高度和倾角度作为设计参数,参数示意如图 7。
图 7 参数示意图
由于整车造型要求及零件结构设计的限制,各个设计参数均需要满足一定的设计范围要求,扰流板高度参数选取见表 1,扰流板倾角度参数选取见表 2。
表 1 扰流板高度参数选取
表 2 扰流板倾角度参数选取
3.2设计样本计算结果及分析
在扰流板倾角度保持不变的情况下,对扰流板高度进行参数化分析,对扰流板高度分别为45mm、50mm、55mm、60mm、65mm 时进行数值仿真。仿真分析结果如图 8 所示,由结果可知,扰流板的垂直高度越大,越有利于天窗风振噪声的抑制。
图 8 仿真优化与风洞试验结果对比
在扰流板垂直高度保持不变的情况下,对扰流板倾角度进行参数化分析,对扰流板倾角度分别为 15°、25°、35°、45°、55°时进行数值仿真。仿真分析结果如图 9 所示,由结果可知,扰流板的倾角度小于 35°时,随着角度的增大,天窗风振噪声越大;扰流板的倾角度大于 35°时,随着角度的增大,天窗风振噪声越小。
图 9 仿真优化与风洞试验结果对比
4 结论
通过整车三维建模对某乘用车型进行了天窗风振噪声数值仿真分析,全面评价了本车的风振噪声水平,找出潜在的优化改进区域,并对影响天窗风振噪声的关键因素进行参数化研究,为后续车型的天窗扰流板设计提供数据支持。
(1)通过对初始模型进行天窗风振噪声仿真分析,发现影响天窗风振噪声的主要因素是扰流板的垂直高度和倾角度。
(2)通过对比数值仿真分析与道路测试结果,发现仿真与测试结果高度一致,可认为本次仿真分析方法的有效性和准确性。
(3)对天窗扰流板的垂直高度进行参数化研究,发现扰流板垂直高度越大,对改善天窗风振噪声效果越有利。
(4) 对天窗扰流板的倾角度进行参数化研究,发现扰流板倾角度为 35°时,天窗风振噪声最大。
资料来源:达索官方
2025-12-05
[行业资讯] simulia简介-abaqus代理经销商思茂信息
2025-12-05
[行业资讯] 如何合理选购abaqus软件并获取报价?达索代理商思茂信息
2025-12-05
[行业资讯] 思茂信息亮相2025省博士创新站活动 共探产学研新路径
2025-12-02
[cst] cst软件探索eft虚拟测试:从iec标准到3d仿真实战
2025-12-01
[abaqus] abaqus中理想弹塑性模型和弹塑性硬化模型区别
2025-11-28
2025-11-28
2025-11-28
[abaqus] 上课啦!达索系统 simulia abaqus pcb仿真
2025-11-26
[cst] 无参优化器:利用cst和tosca进行拓扑优化之单极天线(
2025-11-26
2023-08-29
2023-08-24
[abaqus] abaqus如何建模?abaqus有限元分析教程
2023-07-07
[abaqus] 有限元分析软件abaqus单位在哪设置?【操作教程】
2023-09-05
[abaqus] abaqus软件中interaction功能模块中的绑定接
2023-07-19
[abaqus] abaqus怎么撤回上一步操作?abauqs教程
2024-05-01
[abaqus] abaqus里面s11、s12和u1、u2是什么意思?s和
2023-08-30
[abaqus] abaqus单位对应关系及参数介绍-abaqus软件
2023-11-20
[abaqus] abaqus软件教程|场变量输出历史变量输出
2023-07-18
[abaqus] abaqus中的s、u、v、e、cf分别是什么意思?
2024-05-11
[行业资讯] simulia简介-abaqus代理经销商思茂信息
2025-12-05
2025-12-05
[行业资讯] 如何合理选购abaqus软件并获取报价?达索代理商思茂信息
2025-12-05
[行业资讯] 思茂信息亮相2025省博士创新站活动 共探产学研新路径
2025-12-02
[行业资讯] 正版abaqus全国代理商:思茂信息——达索授权认证
2025-11-25
[行业资讯] 怎么联系cst studio suite代理商?达索sim
2025-11-25
2025-11-24
[行业资讯] 广东有限元分析软件abaqus采购指南-认准达索授权思茂信
2025-11-21
[行业资讯] 达索abaqus、cst代理商采购流程-指定授权代理商思茂
2025-11-21
[行业资讯] 广东2025半导体及零部件学会发展论坛落幕,广州思茂信息获
2025-11-20
地址: 广州市天河区天河北路663号广东省机械研究所8栋9层 电话:020-38921052 传真:020-38921345 邮箱:thinks@think-s.com
博天堂登陆 copyright © 2010-2023 广州思茂信息科技有限公司 all rights reserved. 粤icp备11003060号-2