1 引言
发动机工作时缸体承受包括热应力、气体作用力、质量惯性力和活塞侧推力等载荷。交变载荷通过主轴瓦和螺栓传递到缸体主轴承座上,主轴承座区域应力较大易发生疲劳。若缸体强度不足,结构薄弱区域则会生成疲劳裂纹,裂纹扩大甚至会引起缸体开裂,造成发动机报废[1]。
因发动机运行时无法同时测量缸体内部应力情况,随着数值模拟技术的快速发展,目前大多采用数值模拟仿真缸体强度。文献[2]中通过联合疲劳强度和拓扑优化计算软件,在计算全局缸体缸盖强度基础上,截取局部子模型快速优化强度低区域,优化效率高。文献[3]中详细介绍了发动机冷却系统设计和温度场仿真,并应用到发动机结构强度仿真计算中,对水套根部等薄弱区域进行优化。上述方法可以仿真缸体大部分表面区域结构强度,但不能准确计算主轴承座螺栓孔强度。文献[4]中利用铸造仿真分析技术找出缸体铸造缺陷原因,解决了缸体螺栓搭子因铸造缺陷产生的开裂问题。文献[5]在发动机简化装配模型上计算载荷工况下螺栓受力情况,以此为载荷边界带入含螺纹结构的局部子模型,计算螺栓和缸体螺纹区域应力。文献[6]中通过加入曲轴载荷计算全局模型缸体位移,以此位移边界再带入螺栓孔子模型计算主轴承螺纹孔表面螺纹疲劳强度。上述方法可以较准确的计算螺纹强度,对类似螺纹疲劳开裂问题具有较高指导意义。但该方法仍需建立螺纹网格模型,建模难度较高,不利于短时间多方案横向对比,效率低。
本文利用缸体单轴座模型和模拟螺纹接触算法,简化螺纹模型提高建模和计算效率。利用该方法快速计算缸体轴座螺栓孔应力幅值、疲劳安全系数和联接系统弯曲变形结果,指导产品结构优化,有效解决缸体轴座螺栓孔开裂问题。
2 理论分析
2.1 疲劳分析
本文研究铝合金缸体轴座开裂现象,通过断口分析显示疲劳裂纹源位于主轴承座螺栓孔外侧,为多点起裂,与主轴承座螺栓最后一牙螺纹啮合位置重合。起裂区断口形貌为准解理和撕裂,样品扩展区断口形貌为准解理和贝壳纹,是明显疲劳断裂特征。断口附近受力状态为正应力。
图1 轴座断裂示意图
通过裂纹纹理分析判断缸体开裂为高周疲劳开裂,根据疲劳断裂理论,疲劳安全系数计算公式如下
其中 表示材料许用应力幅值, 表示应力幅值。应力幅值越大,疲劳安全系数越小,而应力幅值主要是在发动机循环做功过程中产生,与发动机燃烧爆发压力直接相关。
2.2 螺栓连接分析
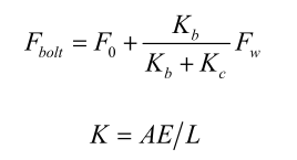
缸体所受载荷均由螺栓传递给轴座,对轴盖、主轴承座螺栓和缸体组成的螺栓联接系统进行受力分析,螺栓受力可通过公式(2)、(3)计算[8],
其中:f0为螺栓装配预紧力,kb为螺栓刚度,kc为被连接件刚度,fw为外载力,a为横截面积,e为弹性模量,l为长度。由图2螺栓联接系统形变图可知,为减小缸体轴座螺栓孔区域应力幅值,可以从螺栓、被连接件结构刚度和外载两个方向进行优化。
图2 螺栓联接系统形变图
3 分析模型
3.1 等效单轴座模型
本文研究发动机缸体为龙门式缸体,分析模型包括:缸体、主轴承盖、缸套、主轴瓦、定位销和主轴承座螺栓。为提升计算效率,只关注开裂轴座局部强度,根据圣维南原理在全局模型上截取单轴座模型,如图3所示。其中,主轴瓦和螺栓结构均采用一阶六面体网格划分,平均尺寸控制在2.0 mm内。而缸体、主轴承盖结构较复杂,均采用二阶四面体网格划分。缸体网格平均尺寸控制在6 mm,并对主
轴承座及曲通区域进行网格加密,局部网格平均尺寸控制在2 mm内,螺栓孔表面节点与螺栓节点重合。主轴承盖整体平均网格尺寸控制在4 mm,关注区域平均网格尺寸控制在2 mm。
图3 分析模型示意图
坐标x方向为发动机前端指向后端,z向为发动机底部指向顶部,y方向为进气侧指向排气侧。通过合理设置边界条件,使单轴座模型计算结果与全模型计算结果一致,而单轴座模型计算效率可以提高4倍以上。
3.2 螺纹接触模型
主轴承盖螺栓与缸体通过螺纹啮合连接,若将螺纹结构全部进行网格划分,节点数将达到千万级。该方法计算时间长,不利于快速对比优化模型有效性。如图4所示,常规仿真分析中将螺纹接触面简化为圆柱面,并设置接触关系为绑定硬连接。这种方法虽然计算时间短,但大大提高连接刚度,螺栓孔区域计算结果误差大。本文在简化螺纹模型基础上,采用abaqus软件中的“clearance,bolt,tabular”模块,通过定义螺栓螺牙角、螺距和公称直径等参数,模拟螺纹啮合接触状态[9]。该方法既提高了计算效率,又可以较准确计算螺栓孔疲劳强度,具有突出技术优势。
图4 螺纹模型示意图
4 输入参数
4.1 载荷边界
发动机运行时,缸体轴座所受载荷主要包括:温度载荷、螺栓轴力和曲轴载荷等。其中,曲轴载荷是气体燃烧对活塞产生的气体作用力和活塞连杆运动产生的惯性力等组成的合力,该载荷经连杆曲轴传递到主轴承座上。通过avl/excite软件曲轴动力学ehd(elasto hydrodynamic)载荷分析,得到如图5所示额定转速工况下主轴承在各方向上受力示意图。
图5 主轴瓦ehd载荷
选择每对主轴承各方向的最大载荷工况点,将各工况点对应的载荷映射到主轴瓦有限元模型节点上,以此作为本次分析的曲轴载荷输入,如图6所示。每个轴座曲轴载荷工况点不于4个。
图6 曲轴载荷
4.2 材料参数
本文研究中各零部件基本材料参数见表1,为提高计算精度,各零部件均考虑材料弹塑性及不同温度下材料力学性能。
表 1. 零部件基本材料参数.
4.3 边界条件
为使有限元计算收敛,需要结合实际发动机安装状态,对模型施加足够的边界约束条件,避免计算模型产生不确定位移。在本次分析中,约束缸体后端x向位移,约束缸体进气侧任意螺栓搭子面y向位移,约束缸体顶部平面z向位移。
5 分析结果
5.1 缸体应力幅值
基于缸体开裂原理,经过多轮次优化模型仿真验证,最终对轴盖、螺栓和缸体进行多方向结构优化,结构对比如图7所示。
图7 结构对比示意图
各工况缸体强度计算完成后,对结果文件进行疲劳后处理。缸体轴座螺栓孔外侧应力幅值云图如图8所示,其中原模型螺栓孔最大应力幅值为22.5 mpa,正好位于螺栓最后一牙啮合螺纹外侧位置,与裂纹起源位置吻合。该位置应力幅值偏大是因为此处连接刚度突变,位移梯度大,受正应力。经过结构优化,优化后螺栓孔最大应力幅值降低至18.2 mpa,下降19.1%。提取螺栓孔最后一牙圆周方向各节点应力幅值,如图9中曲线所示。经过结构优化,螺栓孔底部圆周方向一圈节点的应力幅值均得到明显改善。
图8 应力幅值
图9 应力幅值分布曲线
5.2 缸体疲劳安全系数
缸体轴座螺栓孔外侧疲劳安全系数云图如图10所示。其中,原模型螺栓孔最小疲劳安全系数只有0.87,位置位于螺栓最后一牙啮合螺纹外侧。该位置疲劳安全系数小于1,强度不足,与试验中缸体轴座断裂现象吻合。经过结构优化,优化方案螺栓孔最小疲劳安全系数提高至1.10,满足疲劳强度标准,结构强度可靠。如图11中曲线所示,提取螺栓孔最后一牙圆周方向各节点疲劳安全系数。经过结构优化,螺栓孔底部圆周方向一圈节点的疲劳安全系数均得到明显改善。
图10 疲劳安全系数
图11 疲劳安全系数分布曲线
根据gb / t18297-2001“汽车发动机性能试验方法”和gb / 19055-2003“汽车发动机可靠性试验方法”并结合企业自身试验规范,对优化模型发动机开展交变负荷和全速全负荷可靠性试验,考核缸体轴座的可靠性。优化方案经过多轮台架可靠性验证均顺利通过,轴座未再出现裂纹,轴座检查如图12所示。试验结果证明了本文研究的轴座螺栓孔疲劳计算方法仿真精度较高,优化方案措施有效,保证缸体可靠性的同时,有效降低了测试成本,提升开发效率。
图12 优化模型台架试验轴座检查
5.3 联接系统变形
如图13主轴承盖与缸体轴座联接系统y向变形云图显示,在装配工况下,原模型螺栓产生y向朝外侧较大弯曲变形。主要原因是原模型主轴承盖两侧结构刚度差异大,加载螺栓轴力后,轴盖螺栓孔两侧压缩变形,螺栓朝y向外侧弯曲。如图14曲轴载荷工况下联接系统y向弯曲变形云图所示,因曲轴载荷主推力侧朝向轴座外侧,使联接系统y向变形量增大,螺栓弯曲增加。螺栓底部朝外侧弯曲造成轴座螺栓孔外侧产生集中正应力,发动机长时间高速运行后,轴座螺栓孔底部外侧便产生了疲劳裂纹。通过对比,装配工况下优化方案使螺栓y向弯曲变形量由原23.4 μm降低至6.16 μm,曲轴载荷工况下螺栓y向弯曲变形量由原45.7 μm降低至10.40 μm,优化效果明显。
图13 装配工况y向变形云图
图14 载荷工况y向变形云图
6 结论
本文采用一种高效且精度较高的螺纹疲劳强度仿真分析方法,对某型发动机缸体主轴承轴座螺纹疲劳开裂问题进行研究。考虑曲轴ehd等载荷,比较原方案与优化方案的轴座螺栓孔疲劳强度,和联接系统弯曲变形结果,主要结论如下:
(1)采用单轴座、模拟螺纹接触模型,可以快速较准确的计算螺栓孔疲劳强度,计算效率提升4倍以上。
(2)原模型主轴承螺栓y向弯曲变形大,造成缸体轴座螺栓孔外侧螺纹啮合最后一牙位置应力集中,应力幅值较大,疲劳安全系数低,与试验中轴座起裂源位置吻合。
(3)优化模型主轴承螺栓y向变形显著减小,缸体轴座螺栓孔外侧应力幅值降低,疲劳安全系数达到1.1,强度可靠,通过试验验证。
资料来源:达索官方
2025-12-05
[行业资讯] simulia简介-abaqus代理经销商思茂信息
2025-12-05
[行业资讯] 如何合理选购abaqus软件并获取报价?达索代理商思茂信息
2025-12-05
[行业资讯] 思茂信息亮相2025省博士创新站活动 共探产学研新路径
2025-12-02
[cst] cst软件探索eft虚拟测试:从iec标准到3d仿真实战
2025-12-01
[abaqus] abaqus中理想弹塑性模型和弹塑性硬化模型区别
2025-11-28
2025-11-28
2025-11-28
[abaqus] 上课啦!达索系统 simulia abaqus pcb仿真
2025-11-26
[cst] 无参优化器:利用cst和tosca进行拓扑优化之单极天线(
2025-11-26
2023-08-29
2023-08-24
[abaqus] abaqus如何建模?abaqus有限元分析教程
2023-07-07
[abaqus] 有限元分析软件abaqus单位在哪设置?【操作教程】
2023-09-05
[abaqus] abaqus软件中interaction功能模块中的绑定接
2023-07-19
[abaqus] abaqus怎么撤回上一步操作?abauqs教程
2024-05-01
[abaqus] abaqus里面s11、s12和u1、u2是什么意思?s和
2023-08-30
[abaqus] abaqus单位对应关系及参数介绍-abaqus软件
2023-11-20
[abaqus] abaqus软件教程|场变量输出历史变量输出
2023-07-18
[abaqus] abaqus中的s、u、v、e、cf分别是什么意思?
2024-05-11
[行业资讯] simulia简介-abaqus代理经销商思茂信息
2025-12-05
2025-12-05
[行业资讯] 如何合理选购abaqus软件并获取报价?达索代理商思茂信息
2025-12-05
[行业资讯] 思茂信息亮相2025省博士创新站活动 共探产学研新路径
2025-12-02
[行业资讯] 正版abaqus全国代理商:思茂信息——达索授权认证
2025-11-25
[行业资讯] 怎么联系cst studio suite代理商?达索sim
2025-11-25
2025-11-24
[行业资讯] 广东有限元分析软件abaqus采购指南-认准达索授权思茂信
2025-11-21
[行业资讯] 达索abaqus、cst代理商采购流程-指定授权代理商思茂
2025-11-21
[行业资讯] 广东2025半导体及零部件学会发展论坛落幕,广州思茂信息获
2025-11-20
地址: 广州市天河区天河北路663号广东省机械研究所8栋9层 电话:020-38921052 传真:020-38921345 邮箱:thinks@think-s.com
博天堂登陆 copyright © 2010-2023 广州思茂信息科技有限公司 all rights reserved. 粤icp备11003060号-2