缸盖是发动机中结构最为复杂的零件之一,在工作过程中缸盖火力面直接与高温燃气接触,且随燃烧室瞬态变化而承受着较高的交变热负荷。随着汽油发动机功率密度比越来越高,铸铝缸盖温度也越来越高,缸盖的热机疲劳失效成为学者和主机厂越来越关注的问题 [1~3]。在发动机城市工况怠速-运行-怠速工作循环中,气缸盖燃烧室被急剧加热和冷却,并在其燃烧室火力面产生较大循环热应力负荷,受到低周热疲劳损伤。
本文选择 abaqus 弹塑性和双曲粘塑性应力应变本构模型,chaboche 热机寿命模型对某铸铝缸盖燃烧室进行研究。首先通过材料性能试验拟合获取弹塑性和双曲粘塑性应力应变本构模型,chaboche 热机寿命模型参数;然后建立缸盖的流固耦合传热分析仿真模型求解各工况下的温场、应力,最终通过 chaboche 热机寿命模型计算预测得到燃烧室低周疲劳循环寿命,根据仿真预测经验,此缸盖预测低周疲劳寿命满足目标要求,且最终通过缸盖冷却冲击试验。
1 计算数学模型建立
1.1 应力应变本构模型
应 力 应 变 本 构 模 型 选 择 弹 塑 性 模 型 abaqus 双曲粘塑性模型。弹塑性模型描述了塑性状态下应力和应变的关系,主要考虑了塑性硬化模型,多轴拉伸时的数学表达式为:
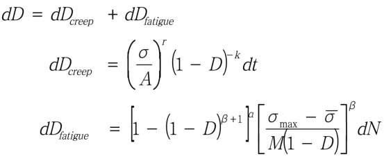
1.2 热机疲劳寿命分析模型
热机疲劳分析模型选择了 chaboche 热机寿命模型,该模型是基于非线性蠕变和疲劳损伤
演化方程。方程中的材料参量从等温蠕变断裂试验和等温应力控制快速疲劳试验中获取。蠕变和损伤的交互作用通过对每个循环的蠕变和疲劳损伤进行累积来实现,累积为非线性。损伤值累积到 1 时,认为失效发生。chaboche 预测模型中的损伤是一个较接近于真实的概念。该模型比较灵活,既可预测等温蠕变疲劳寿命也可预测热机疲劳寿命。
chaboche creep-fatigue 模型:
总损伤
2 材料试验
本文中发动机缸盖为铸铝合金材料。材料试验主要是获取塑性硬化,蠕变双曲模型,以及chaboche 热机寿命模型中的材料参数。化学成分如表 1 所示
表 1 化学成分(%)
材料试验类型包含 5 类,试验名称及试验温度要求见表 2。
表 2 拉伸试验参数要求
3 材料本构参数拟合及验证
根据材料试验的结果分别对塑性硬化模型和双曲蠕变模型的参数进行拟合。塑性硬化模型
塑性硬化模型的参数γ,c 主要通过应变控制疲劳试验数据处理拟合得到。拟合塑性硬化模型与试验数据对比如图1 所示,
图 1 20℃和 250℃拟合与试验应力滞回环对比
对比拟合塑性硬化模型与试验数据应力应变稳定循环趋势一致,满足要求。
双曲蠕变模型的参数 b,n,a,q 通过蠕变疲劳试验数据处理拟合得到。拟合蠕变模型与试验数据进行对比,其拟合应变速率与试验应变速率比值的分布如图 2 所示。预测和实测的稳定蠕变速率比值在 0.35~2.28 之间,满足要求。
图 2 合应变速率与试验应变速率比值的分布图
chaboche 热机疲劳蠕变模型
蠕变模型参数 r,a,k,chaboche 热机疲劳蠕变参数通过所有试验温度下的应变控制疲劳,应力控制疲劳,应力保持疲劳和蠕变疲劳处理拟合得到。chaboche 热机蠕变疲劳寿命模型预测结果和实测结果比较如图 3 所示,大多数预测结果在试验结果的±3 倍之内,只有少数结果落在±5 倍分散带之外,满足要求。
图 3 chaboche 热机蠕变疲劳寿命模型预测结
果和实测结果对比
4 缸盖的流固耦合传热分析仿真
4.1 仿真流程
仿真流程主要分为温度场计算和热机疲劳计 算 , 具 体 计 算 流 程 如 图 4 所 示 。
图 4 低周疲劳仿真分析流程
4.2 仿真模型
缸盖低周疲劳模型主要包括以下部件:缸盖、缸体、气门导管、气门阀座、火花塞、缸盖螺栓、缸垫、缸套。如图 5 所示。
图 5 缸盖低周疲劳仿真模型
4.3 仿真工况
缸盖低周疲劳工况采用怠速和额定功率工况交变。每个循环包括升温,保持额定工况,降温,保持怠速工况 4 个过程,每个过程持续时间90s,一个循环持续时间为 360s。循环进行 4次,其中第二个循环的额定工况保持过程为 30小时。使用第四个循环的结果进行低周疲劳计算。如图 6 所示。
图 6 缸盖低周疲劳工况介绍
4.4 温度场解析
在装配工况,怠速工况和额定功率点工况燃烧室温度分布见图 7。
图 7 燃烧室温度分布云图
4.5 结果分析
对某机型缸盖进行低周疲劳仿真,燃烧室内热应力分布云图如所示。在额定工况下,燃烧室内主要出于受压状态,输出最小主应力结果,最小主应力最大值为 262mpa,在进排气阀座的鼻梁区。在怠速工况,燃烧室内主要出于受拉状态,出最大主应力结果,最大主应力最大值为151mpa,在进气阀座的鼻梁区,如图 8 所示。
图 8 燃烧室热应力分布云图
缸 盖 燃 烧 室 低 周 疲 劳 循 环 次 数 最 低 为nf=3295,lg(nf)=3.52,高于循环次数评价指标参考标准,满足设计要求,如图 9 所示。在改发动机冷热冲击试验中,缸盖完成该专项试验,设计满足要求。
图 9 燃烧室低周疲劳循环次数分布云图(log10)
5 结论
(1)通过多项材料性能试验拟合获取弹塑性和 abaqus 双曲粘塑性应力应变本构模型参数,chaboche 热机寿命模型参数,并将拟合结果和试验结果进行对比,验证了拟合参数的合理性。
(2)建立缸盖的流固耦合传热分析仿真模型,求解各工况下的温场;缸盖材料定义采用弹塑性和 abaqus 双曲粘塑性应力应变本构模型,求解各循环下的应力场,采用 chaboche 热机寿命模型计算预测得到燃烧室低周疲劳循环寿命。
(3)仿真可有效预测燃烧室低周疲劳循环寿命,低周寿命区域主要在排排鼻梁区和进排鼻梁区,对缸盖燃烧室的设计具有重要意义。
资料来源:达索官方
2025-12-05
[行业资讯] simulia简介-abaqus代理经销商思茂信息
2025-12-05
[行业资讯] 如何合理选购abaqus软件并获取报价?达索代理商思茂信息
2025-12-05
[行业资讯] 思茂信息亮相2025省博士创新站活动 共探产学研新路径
2025-12-02
[cst] cst软件探索eft虚拟测试:从iec标准到3d仿真实战
2025-12-01
[abaqus] abaqus中理想弹塑性模型和弹塑性硬化模型区别
2025-11-28
2025-11-28
2025-11-28
[abaqus] 上课啦!达索系统 simulia abaqus pcb仿真
2025-11-26
[cst] 无参优化器:利用cst和tosca进行拓扑优化之单极天线(
2025-11-26
2023-08-29
2023-08-24
[abaqus] abaqus如何建模?abaqus有限元分析教程
2023-07-07
[abaqus] 有限元分析软件abaqus单位在哪设置?【操作教程】
2023-09-05
[abaqus] abaqus软件中interaction功能模块中的绑定接
2023-07-19
[abaqus] abaqus怎么撤回上一步操作?abauqs教程
2024-05-01
[abaqus] abaqus里面s11、s12和u1、u2是什么意思?s和
2023-08-30
[abaqus] abaqus单位对应关系及参数介绍-abaqus软件
2023-11-20
[abaqus] abaqus软件教程|场变量输出历史变量输出
2023-07-18
[abaqus] abaqus中的s、u、v、e、cf分别是什么意思?
2024-05-11
[行业资讯] simulia简介-abaqus代理经销商思茂信息
2025-12-05
2025-12-05
[行业资讯] 如何合理选购abaqus软件并获取报价?达索代理商思茂信息
2025-12-05
[行业资讯] 思茂信息亮相2025省博士创新站活动 共探产学研新路径
2025-12-02
[行业资讯] 正版abaqus全国代理商:思茂信息——达索授权认证
2025-11-25
[行业资讯] 怎么联系cst studio suite代理商?达索sim
2025-11-25
2025-11-24
[行业资讯] 广东有限元分析软件abaqus采购指南-认准达索授权思茂信
2025-11-21
[行业资讯] 达索abaqus、cst代理商采购流程-指定授权代理商思茂
2025-11-21
[行业资讯] 广东2025半导体及零部件学会发展论坛落幕,广州思茂信息获
2025-11-20
地址: 广州市天河区天河北路663号广东省机械研究所8栋9层 电话:020-38921052 传真:020-38921345 邮箱:thinks@think-s.com
博天堂登陆 copyright © 2010-2023 广州思茂信息科技有限公司 all rights reserved. 粤icp备11003060号-2