1. 概述
汽车排气系统是连接发动机的重要零部件,主要用于过滤发动机废气中的有害物质、消除发动机噪声。在所有汽车零部件中,其工作环境最为恶劣。排气系统热端不仅要承受发动起高温气体的热冲击,还要承受发动机的剧烈振动冲击。因此,保证排气系统热端的疲劳耐久性能变的至关重要。本文介绍了配套三缸发动机的排气系统热端模型的热模态分析。
首先,建立有限元模型。利用hypermesh软件对排气系统热端数模进行前处理,建立结构有限元分析的网格模型。在hypermesh的abaqus模板下,为各个零件的有限元模型定义属性和材料,以及有限元模型的热边界条件。
然后,利用abaqus的求解器对排气系统热端进行温度场分析,利用有限元后处理软件hyperview输出有限元模型的温度分布,导出的节点温度将作为温度边界条件施加到模态分析的有限元模型上。
最后,利用optistruct[1] 对高温下的排气系统热端有限元模型进行模态分析。根据排气系统热端的模态频率和模态振型,为热端的设计和优化提供建议。
为了防止排气系统热端发生共振,一般要求排气系统热端的第一阶模态频率要大于发动机最大转速的激励频率。本热端模型匹配的发动机是三缸四冲程汽油发动机,转速范围为:850-6000rpm。根据发动机转速范围,可以确定发动机转速的激励频率范围为:21-150hz。因此,排气系统热端的第一阶模态频率要大于150hz。为了保留一定的安全裕度,在本设计方案中,把排气系统第一阶模态频率目标值设定为:大于160hz。
2. 排气系统热端温度场分析
2.1 内边界条件分析
利用fluent软件,对排气系统热端的内流场进行分析,计算出排气系统热端的内边界条件。进出口的边界温度根据客户给定的排气温度确定,由计算可得出排气系统热端的htc分布结果。如图1所示:
图 1. htc 分布图
根据以上的内流场分析结果,把htc和气体温度作为内边界,施加到排气系统热端fea模型上。在一些要求不太精确的计算中,为了节约计算时间,也可以对内边界条件进行简化,根据同类型系统的分析经验,对内边界的htc手动定义一个统一的数值。
2.2 温度场分析 fe 模型
由于排气系统热端模型都是多曲面的复杂模型,因此排气系统热端的3d模型都是在专业的cad软件中建立。然后,把cad模型导入到通用有限元前处理软件hypermesh中,在abaqus的模版下,进行网格划分,单元属性和零件材料的定义。建立好网格模型后,即可以进行边界条件的施加。在本方案中,排气系统热端的有限元模型如图2所示。本排气系统热端主要采用四边形shell单元,法兰和载体采用六面体solid单元,涡轮增压器采用四面体solid单元。本文温度场计算使用的是abaqus 的求解器。在fea模型中,定义的热接触对如下:
1)、涡轮增压器法兰和热端进气端锥之间建立热接触。
2)、支架和热端壳体之间建立热接触。
排气系统热端的结构零部件全部为不锈钢材料,材料参数来自于公司内部的材料数据库。
图 2. 排气系统热端 fea 模型
2.3 温度场分析理论和计算结果
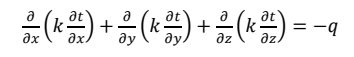
排气系统热端温度场计算的控制方程[2]为
热边界条件为第一类边界条件和第三类边界条件涡轮增压器法兰面和进气端锥的接触、支架和壳体的接触,均为第一类边界条件;其余为第三类边界条件。
排气系统热端内壁的热边界条件由cfd分析得出。排气歧管外表面的空气温度设定为20oc;换热系数为25w/mm2k。图3为排气系统热端温度场的分布图。温度最大值出现在端锥和中间管上,最大温度为859.5oc。从温度分布图中可以看出,支架和壳体支架具有很大的温度梯度,这是由于壳体内部的高温气体持续不断的加热,而支架的热量主要来自壳体的热传导。支架温度的升高对材料的弹性模量影响很大,随着温度的升高,弹性模量成比例下降,所以,高温对排气系统热端的第一阶模态频率影响很大。
图 3. 热端的温度场分布
3. 热模态分析
3.1 模态分析理论及提取方法
多自由度系统的振动微分方程[3]为
从多自由系统的特征方程可以看出,多自由度的振动主要受结构刚度和质量分布影响。提高刚度值可以提高结构的第一阶模态频率,在给定区域增加质量会降低结构的第一阶模态频率。后续的结构优化可以从这两个影响因素为指导方向,来优化设计,提高结构的第一阶模态频率。本文采用optistruct进行模态求解,特征值提取方法采用lanczos法。
3.2 fea 模型
把abaqus的温度场分析结果作为模态分析的温度边界条件,利用前处理分析软件hypermesh导入到模型中。然后,把abaqus格式的fea模型,在hypermesh中转化为optistruct格式的fea模型。这样可以节省画网格的时间,使两种分析类型能够使用同一套网格。对部分没有转换成功的fea数据,需要手动重新定义。本分析选用的热端材料全部为不锈钢,材料参数可调用公司内部的材料数据库里面的数据。
3.3 模态分析边界条件
热边界条件:排气系统热端温度采用abaqus的温度场分析结果,如图3所示,不同的温度会影响到材料的弹性模态。位移边界条件:在涡轮增压器安装螺栓孔位置和热端支架安装螺栓孔位置,施加位移为零的全自由度约束。图4中的红色三角形表示对该位置进行全自由度约束。
分析的频率范围参照发动机转速激励频率范围确定,本计算中的频率范围为:20-200hz。
图 4. 约束边界条件
3.4 分析结果
利用商业后处理软件hyperview查看模态分析结果。排气系统热端的第一阶模态频率为98hz,第二阶模态频率为113hz。其振型分别如图5和图6所示。
图 5. 第一阶模态振型
图 6. 第二阶模态振型
排气系统热端的设计目标值为:第一阶模态频率大于160hz。从分析结果可以看出,热端的第一阶和第二阶模态频率均落在了发动机的转速激励频率范围之内,即本设计没有满足设计要求。因此,要对排气系统热端的支架进行优化,提高排气系统热端的低阶模态频率,使其超过160hz。
4. 优化方案
从排气系统热端的热模态分析结果可以看出,在发动机的转速激励频率范围内,排气系统热端有两阶模态频率,在排气系统热端模态频率处极易产生共振,造成破坏,这对排气系统的疲劳耐久性能是极为不利的。考虑到排气系统的热催化转化器已经受制与外部边界条件的限制,无法做出位置调整,也就是质量分布没办法改变。从模态振型图中可以看出,后级催化器的支撑比较弱,模态频率比较低,需要提高后级催化器的低阶模态频率。
因此,要加强后级催化器的支撑,只能从增加支架的刚度上寻求解决办法。根据上述分析结果,给出以下优化方案,来提高排气系统热端的第一阶模态频率。
1)、增强第一个催化器安装支架。
2)、增强第二个催化器安装支架。
3)、在两个催化器之间增加一个支架。
通过对优化设计方案进行模态分析,得出优化方案的第一阶模态频率为164hz,第二
阶模态模态频率为165hz。其模态振型如图7和图8。
图 7. 第一阶模态振型
图 8. 第二阶模态振型
经过优化后的设计方案,达到了第一阶模态频率大于160hz的设计要求。后续,将对排气系统热端进行热机耦合分析,来快速验证排气系统热端是否满足热机疲劳耐久性能的设计要求。
5. 结论
本文利用商业有限元分析软件,计算出排气系统热端的温度场和热模态,快速验证了设计方案是否满足设计要求,并提出有效的优化方案,提高了排气系统热端的第一阶热模态频率,降低了热端系统的热振动响应。在排气系统的开发阶段,提高系统的刚度及振动耐久性。同时,能极大的缩短产品开发时间,节约产品开发费用。
资料来源:达索官方
2025-12-05
[行业资讯] simulia简介-abaqus代理经销商思茂信息
2025-12-05
[行业资讯] 如何合理选购abaqus软件并获取报价?达索代理商思茂信息
2025-12-05
[行业资讯] 思茂信息亮相2025省博士创新站活动 共探产学研新路径
2025-12-02
[cst] cst软件探索eft虚拟测试:从iec标准到3d仿真实战
2025-12-01
[abaqus] abaqus中理想弹塑性模型和弹塑性硬化模型区别
2025-11-28
2025-11-28
2025-11-28
[abaqus] 上课啦!达索系统 simulia abaqus pcb仿真
2025-11-26
[cst] 无参优化器:利用cst和tosca进行拓扑优化之单极天线(
2025-11-26
2023-08-29
2023-08-24
[abaqus] abaqus如何建模?abaqus有限元分析教程
2023-07-07
[abaqus] 有限元分析软件abaqus单位在哪设置?【操作教程】
2023-09-05
[abaqus] abaqus软件中interaction功能模块中的绑定接
2023-07-19
[abaqus] abaqus怎么撤回上一步操作?abauqs教程
2024-05-01
[abaqus] abaqus里面s11、s12和u1、u2是什么意思?s和
2023-08-30
[abaqus] abaqus单位对应关系及参数介绍-abaqus软件
2023-11-20
[abaqus] abaqus软件教程|场变量输出历史变量输出
2023-07-18
[abaqus] abaqus中的s、u、v、e、cf分别是什么意思?
2024-05-11
[行业资讯] simulia简介-abaqus代理经销商思茂信息
2025-12-05
2025-12-05
[行业资讯] 如何合理选购abaqus软件并获取报价?达索代理商思茂信息
2025-12-05
[行业资讯] 思茂信息亮相2025省博士创新站活动 共探产学研新路径
2025-12-02
[行业资讯] 正版abaqus全国代理商:思茂信息——达索授权认证
2025-11-25
[行业资讯] 怎么联系cst studio suite代理商?达索sim
2025-11-25
2025-11-24
[行业资讯] 广东有限元分析软件abaqus采购指南-认准达索授权思茂信
2025-11-21
[行业资讯] 达索abaqus、cst代理商采购流程-指定授权代理商思茂
2025-11-21
[行业资讯] 广东2025半导体及零部件学会发展论坛落幕,广州思茂信息获
2025-11-20
地址: 广州市天河区天河北路663号广东省机械研究所8栋9层 电话:020-38921052 传真:020-38921345 邮箱:thinks@think-s.com
博天堂登陆 copyright © 2010-2023 广州思茂信息科技有限公司 all rights reserved. 粤icp备11003060号-2