缸盖缸体是结构复杂的箱形零件,其上加工有进、排气门座孔,气门导管孔,火花塞安装孔,还铸有水套、进排气道和燃烧室等,因此结构十分复杂,且要承受不断变化的气体的爆发压力和螺栓预紧力,同时还有承受因温度不断变化引起的热应力的影响,因此进行 cae 分析,校核缸盖缸体是否具有足够的强度和刚度十分重要,缸盖缸体承载着缸内气体作用力和惯性力,而作用在燃烧室上的气体作用力为:
其中, rgas 是作用在活塞上的气体爆发压力,a 为燃烧室的投影面积。
而计算紧固螺栓预紧力是首先根据最大气体爆发压力选取具体的螺栓类型等级,然后根据螺栓的类型等级计算出相应的紧固螺栓预紧力的大小。
缸体缸盖温度场分析
温度场分析模型简述
首先要进行缸体缸盖温度场分析,以用来进行热应力的分析输入。
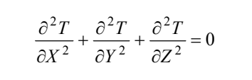
一般来说,受热零件中任一点的温度 t 是其位置和时间的函数,即 t=t(x,y,z,t),x,y,z 是位置坐标,根据传热学原理,温度函数满足下列微分方程。
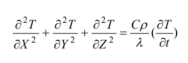
如果 t 只随位置改变而不随时间改变,即稳定温度场 t=t(x,y,z)函数满足下列微分方程:
计算瞬态热分析需要给定起始条件和边界条件,求解稳定温度场分析只需给定边界条件,起始条件就是起始时刻缸盖缸体的温度场,边界条件就是物体表面与外围介质间的传热关系,共计三类边界条件:
l第一类边界条件是已知物体表面的温度。
l第二类边界条件是已知通过物体表面的热流通量。
l第三类边界条件是已知物体与外围介质间的换热系数和介质温度
在本次缸体缸盖温度场分析中,分别采用了第二类边界条件和第三类边界条件,其中水套的表面采用了第二类边界条件,而与空气、润滑油接触的表面采用第三类边界条件,分析模型见下图[1],
图 1 有限元分析模型
温度场结果分析
从图 2 燃烧室表面温度分布图可以看到,在排气门与火花塞之间温度最高为 248℃,小于材料的最高温度要求 260℃,且在进排气门鼻梁区的温度变化趋势可以看到,温度是以近似正弦函数形式平滑上升,没有过度的温度升高和降低[图 3],且在燃烧室表面至水套表面的厚度方向上,温度从 160℃到 240℃平滑过渡[图 4],由从图5 水套表面温度分布图可以看到,水套表面的最高温度为 146℃,气泡沸腾出现在 150℃,且在 150℃-160℃之间,
气泡沸腾因为表面沸腾气泡的存在加大了壁面边界层的扰动,从而提高了壁面的放热能力,造成了通过缸壁的热流密度增大,壁面的换热系数增大,这时带来的是有益的影响,但是水套表面温度大于 160℃时,由于壁面附近气泡逐渐连成一体形成一层不动的气膜,气泡沸腾转换为膜态沸腾,反而阻碍了换热能力的加强,因此壁面温度只要小于 160℃即可满足要求。
从而引起了受热部件局部严重过热[见图 5]。
图 2 燃烧室表面温度分
图 3 鼻梁区温度变化趋势图
图 4 鼻梁区温度变化趋势图
图 5 水套表面温度分
图 6 沸腾换热系数变化趋势
2025-12-05
[行业资讯] simulia简介-abaqus代理经销商思茂信息
2025-12-05
[行业资讯] 如何合理选购abaqus软件并获取报价?达索代理商思茂信息
2025-12-05
[行业资讯] 思茂信息亮相2025省博士创新站活动 共探产学研新路径
2025-12-02
[cst] cst软件探索eft虚拟测试:从iec标准到3d仿真实战
2025-12-01
[abaqus] abaqus中理想弹塑性模型和弹塑性硬化模型区别
2025-11-28
2025-11-28
2025-11-28
[abaqus] 上课啦!达索系统 simulia abaqus pcb仿真
2025-11-26
[cst] 无参优化器:利用cst和tosca进行拓扑优化之单极天线(
2025-11-26
2023-08-29
2023-08-24
[abaqus] abaqus如何建模?abaqus有限元分析教程
2023-07-07
[abaqus] 有限元分析软件abaqus单位在哪设置?【操作教程】
2023-09-05
[abaqus] abaqus软件中interaction功能模块中的绑定接
2023-07-19
[abaqus] abaqus怎么撤回上一步操作?abauqs教程
2024-05-01
[abaqus] abaqus里面s11、s12和u1、u2是什么意思?s和
2023-08-30
[abaqus] abaqus单位对应关系及参数介绍-abaqus软件
2023-11-20
[abaqus] abaqus软件教程|场变量输出历史变量输出
2023-07-18
[abaqus] abaqus中的s、u、v、e、cf分别是什么意思?
2024-05-11
[行业资讯] simulia简介-abaqus代理经销商思茂信息
2025-12-05
2025-12-05
[行业资讯] 如何合理选购abaqus软件并获取报价?达索代理商思茂信息
2025-12-05
[行业资讯] 思茂信息亮相2025省博士创新站活动 共探产学研新路径
2025-12-02
[行业资讯] 正版abaqus全国代理商:思茂信息——达索授权认证
2025-11-25
[行业资讯] 怎么联系cst studio suite代理商?达索sim
2025-11-25
2025-11-24
[行业资讯] 广东有限元分析软件abaqus采购指南-认准达索授权思茂信
2025-11-21
[行业资讯] 达索abaqus、cst代理商采购流程-指定授权代理商思茂
2025-11-21
[行业资讯] 广东2025半导体及零部件学会发展论坛落幕,广州思茂信息获
2025-11-20
地址: 广州市天河区天河北路663号广东省机械研究所8栋9层 电话:020-38921052 传真:020-38921345 邮箱:thinks@think-s.com
博天堂登陆 copyright © 2010-2023 广州思茂信息科技有限公司 all rights reserved. 粤icp备11003060号-2